Paul Manafort


Mapping only. Not accusations. This site documents verifiable connections and degrees of separation. Inclusion ≠ allegation of wrongdoing. Keep contributions neutral, evidence-based, and sourced. No doxxing or partisan campaigning.

Paul Manafort

This research page compiles publicly available information about Paul Manafort and their place in the broader Jeffrey Epstein connection graph. People may appear here either because they are mentioned in one or more evidence items (such as flight logs, emails, legal records or credible public reporting), or because reliable public sources document relationships or affiliations that link them to others in this network.

Some profiles therefore track individuals who may be several steps removed — sometimes up to six degrees of separation — from Jeffrey Epstein himself. They are included so researchers can see whether those names later recur in other documents, networks, or investigations. Listing Paul Manafort here is not, by itself, a statement of guilt or innocence.

Use the network graph, shortest-path view, and evidence links below to explore how this person connects to others in the dataset and to Jeffrey Epstein.

Wikipedia Information Wikipedia

Paul John Manafort Jr. is an American former lobbyist, political consultant, and attorney. A long-time Republican Party campaign consultant, he chaired the Trump presidential campaign from June to August 2016. Manafort served as an adviser to the U.S. presidential campaigns of Republicans Gerald Ford, Ronald Reagan, George H. W. Bush, and Bob Dole. In 1980, he co-founded the Washington, D.C.–based lobbying firm Black, Manafort & Stone, along with principals Charles R. Black Jr. and Roger Stone, joined by Peter G. Kelly in 1984. Manafort often lobbied on behalf of foreign leaders, including former President of Ukraine Viktor Yanukovych, former dictator of the Philippines Ferdinand Marcos, former dictator of Zaire Mobutu Sese Seko, and Angolan guerrilla leader Jonas Savimbi. Lobbying to serve the interests of foreign governments requires registration with the United States Department of Justice under the Foreign Agents Registration Act (FARA); on June 27, 2017, he retroactively registered as a foreign agent.

Paul Manafort
Categories: 1949 births 21st-century prisoners and detainees of the United States federal government All Wikipedia articles written in American English All articles containing potentially dated statements American campaign managers
Read full article on Wikipedia ↗ | Last updated: Jan 24, 2026
Shortest path to Jeffrey Epstein: 2 degree(s)
  1. Paul Manafort
  2. Donald Trump
  3. Jeffrey Epstein

Closest Connections

  • Donald Trump — advisor — Weak
    Evidence
    • Paul Manafort (Other) 0
  • Roy Cohn — associated with — Weak
    Evidence
    • Paul Manafort (Other) 0

Click a name to highlight 1° / 2° / 3° rings. Edge thickness indicates connection strength. Use Tab to focus and arrow keys to navigate.

Explore this person in the network graph

The presence of Paul Manafort in this dataset should be understood in a research and mapping context only. The project traces publicly documented relationships and degrees of separation — sometimes several steps removed — to see whether particular names recur across different evidence sets over time.

A person may therefore appear here because they are directly mentioned in documents, because they have a publicly reported relationship or affiliation with others in the network, or because they sit several links away in a chain of acquaintances. Inclusion alone does not imply criminal conduct, moral judgment, or endorsement.

Document hits for this person

Results for Paul

  • HOUSE_OVERSIGHT_030872
    … next in line would be the Speaker of the House, Paul Ryan. Steve Bannon has described him as "a limp-dick motherfucker …
  • HOUSE_OVERSIGHT_030871
    From: paul krassner Sent: 7/21/2017 4:13:33 AM To: jeffrey E. [jeeyacation@gmail.com] Subject: …
  • HOUSE_OVERSIGHT_022437
    … living among the clouds, though. Michael D'Alessio, president of Michael Paul Enterprises, oversaw the overhaul of two smallish rental buildings east …
  • HOUSE_OVERSIGHT_030863
    … July 19, 2015) Trump Bush Christie Walker Jindal Cruz Rubio Paul Kasich H uckabee Graham Perry Fiorina Carson Santorum Pataki Media …
  • HOUSE_OVERSIGHT_030870
    … Kushner, or to chief strategist Steve Bannon or House Speaker Paul Ryan, the website reported. Those sources also revealed that Trump …
  • HOUSE_OVERSIGHT_030868
    From: paul krassner Sent: 2/10/2017 3:43:30 PM To: jeffrey E. [jeevacation@gmail.com] Subject: …
  • HOUSE_OVERSIGHT_029658
    … 28, 2011, at 12:36 AM, Katherine Keating < > wrote: Paul Keating explains as never before • BY:PAUL KELLY, EDITOR-AT-LARGE • …
  • HOUSE_OVERSIGHT_017598
    … currently furthering litigation, including but not limited to plaintiff's mother, Pauline Scala McGuire, and from whom they received and/or have been …
  • HOUSE_OVERSIGHT_030236
    … thus slow the wave of business bankruptcies. Why didn't Hank Paulson think of that? These acts and edicts sound farcical, yes, …
  • HOUSE_OVERSIGHT_029669
    … always have the pad out to write the ideas down." http://www.theaustralian.com.au/news/opinion/paul-keating-explains-as-never- before/story-e6frg74x-12261 73493029 HOUSE OVERSIGHT 029669
  • HOUSE_OVERSIGHT_029665
    http://www.theaustralian.com.au/national-affairs/creativity-is-central-to-our-endeavours/story-fn59niix- 1226173494033 Paul Keating explains as never before BY:PAUL KELLY, EDITOR-AT-LARGE • From:The …
  • HOUSE_OVERSIGHT_029663
    … regards Katherine X Creativity is central to our endeavours • BY:PAUL KEATING • From: The Australian • October 22, 2011 12:00AM …
  • HOUSE_OVERSIGHT_031118
    … having just spent six hours on a flight sitting next Paula Wagner who is Tom Cruise's ex-agent turned Broadway producer for …
  • HOUSE_OVERSIGHT_029678
    … always have the pad out to write the ideas down." http://www.theaustralian.com.au/news/opinion/paul-keating-explains-as-never- before/story-e6frd74x-12261 73493029 — *********************************************************** The information contained in this communication …
  • HOUSE_OVERSIGHT_029673
    … trust this might be evident to the reader. http://www.theaustralian.com.au/national-affairs/creativity-is-central-to-our-endeavours/story-fn59niix- 1226173494033 Paul Keating explains as never before • BY:PAUL KELLY, EDITOR-AT-LARGE • …
  • HOUSE_OVERSIGHT_029671
    … regards Katherine X Creativity is central to our endeavours • BY:PAUL KEATING • From: The Australian • October 22, 2011 12:00AM …
  • HOUSE_OVERSIGHT_030890
    … 2:16 AM To: Boris Nikolic Subject: Re: re vanity fair, paul seems imbalanced„ so many intricate computing details but fuzzy on …
  • HOUSE_OVERSIGHT_030892
    … 2:16 AM To: Boris Nikolic Subject: Re: re vanity fair, paul seems imbalanced„ so many intricate computing details but fuzzy on …
  • HOUSE_OVERSIGHT_024629
    … Cavalier cover: "BEAT 'EM SENSELESS FIRST"___THE FREE SPEECH CONTROVERSY, BY PAUL KRASSNER . . . "Ironically," I wrote, "it is this …
  • HOUSE_OVERSIGHT_024624
    From: J [jeeyacation@gmail.com] Sent: 5/15/2019 10:21:20 AM To: paul krassner Subject: Re: rather long and a few typos On …
  • HOUSE_OVERSIGHT_024928
    … Cavalier cover: "BEAT 'EM SENSELESS FIRST"___THE FREE SPEECH CONTROVERSY, BY PAUL KRASSNER . . . "Ironically," I wrote, "it is this …
  • HOUSE_OVERSIGHT_024923
    … [ Rebecca Risman Subject: rather long and a few typos paul krassner ________________________________________ •; nick kazan [ ; Linda W. Grossman …
  • HOUSE_OVERSIGHT_031540
    From: paul krassner Sent: 4/22/2017 10:02:03 PM To: jeffrey E. [jeeyacation@gmail.com] Subject: …
  • HOUSE_OVERSIGHT_018067
    … Speaker(s): David Brooks, Jordi Canals,Chancellor Joel I. Klein, Jeff Lehman, Paul Romer,John Sexton,Dr. Shirley M. Tilghman, Vijay Vaitheeswaran, Adrian Wooldridge. Tickets …
  • HOUSE_OVERSIGHT_026549
    … Lesley Groff To: Jeffrey Epstein CC <jeevacation@gmail.com>; Seminar-MONEY Marc Andreesen Paul Batista (Not sure this is who you mean) Jeff Bezos …
  • HOUSE_OVERSIGHT_033270
    From: Paul Barrett Sent: 1/25/2018 7:43:30 PM To: jeffrey E. [jeeyacation@gmail.com] Subject: …
  • HOUSE_OVERSIGHT_026037
    From: Paul Schulte <I Date: 12 December 2016 at 4:10:08 PM GMT+8 …
  • HOUSE_OVERSIGHT_026036
    … him when he's in NYC. gino Begin forwarded message: From: Paul Schulte < Subject: Re: Schulte Research: Deep dives into PRC …
  • HOUSE_OVERSIGHT_032963
    From: jeffrey E. [jeeyacation@gmail.com] Sent: 2/8/2017 12:37:31 AM To: paul krassner Subject: Re: P.S. Importance: High he can only be …
  • HOUSE_OVERSIGHT_033421
    … for so long that now everybody is expecting the worst," Paul Meeks, a technology portfolio manager at Wireless Fund, told Amos. …
  • HOUSE_OVERSIGHT_033420
    … are too big and need to be reined in." — Paul Gallant, an analyst with Cowen Washington Research Group Big Tech …
  • HOUSE_OVERSIGHT_033157
    … Message—– From: BRYAN SUBOTNICK To: ; Subotnick Stuart ; Prosperi Paul Sent: Tue, Jan 21, 2014 4:35 pm Subject: Why Palm …
  • HOUSE_OVERSIGHT_032082
    … use because the systems can be so costly. Next month, Paul Whyte, a Markham dealer of smart-home technology that allows ordinary …
  • HOUSE_OVERSIGHT_030458
    … the Dalai Lama, Bill Gates, George Soros, Stephen Hawking, Sir Paul McCartney, Mick Jaggar and Salman Rushdie. We are a programme …
  • HOUSE_OVERSIGHT_033301
    … Republican Party nominee bought the Boeing 757-200 from Microsoft co-founder Paul Allen and he spared no expense kitting it out. Dubbed …
  • HOUSE_OVERSIGHT_022322
    From: Sent: To: Subject: Attachments: Paul Morris 10/21/2013 12:44:26 AM Jeffrey Epstein [jeeyacation@gmail.com] Fw: Weekend Snippets …
  • HOUSE_OVERSIGHT_031386
    The victims' attorneys — Edwards, Scarola and Paul Cassell — have asked the Justice Department to throw out …
  • HOUSE_OVERSIGHT_022346
    From: Sent: To: Subject: Attachments: Paul Morris [1111111111111111110111114111111111114] 3/14/2014 10:27:39 PM Jeffrey Epstein [jeeyacation@gmail.com] Re: Oil …
  • HOUSE_OVERSIGHT_031390
    The victims' attorneys — Edwards, Scarola and Paul Cassell — have asked the Justice Department to throw out …
  • HOUSE_OVERSIGHT_014530
    … its long term-growth prospects and low correlation to financial assets. Paul V. Morris Managing Director I The Morris Group Private Banking …
  • HOUSE_OVERSIGHT_014525
    From: Morris, Paul V Sent: 1/5/2017 3:31:54 PM To: Morris, Paul V CC: …
  • HOUSE_OVERSIGHT_026832
    … 212.573.8158, jaraneo@sglawyers.com Lance Friedler, 212.573.8030, Ifriedler@sglawyers.com Mitchell Taras, 212.5738417, mtaras@sglawyers.com Paul Fasciano, 212.573.8025, pfasciano@sglawyers.com Ron S. Geffner, 212.573.6660, rgeffner@sglawyers.com Sam Lieberman, …
  • HOUSE_OVERSIGHT_022359
    From: Paul Morris__________________________ Sent: 4/30/2013 6:57:28 PM To: jeevacation@gmail.com Subject: Fw: Tax …
  • HOUSE_OVERSIGHT_031682
    … Gerson; George Nader, the Lebanese- American with Trump campaign connections; Paul Manafort, Mr. Trump's former campaign chairman; Michael D. Cohen, the …
  • HOUSE_OVERSIGHT_031393
    … gratification of others." The victims' attorneys — Edwards, Scarola and Paul Cassell — have asked the Justice Department to throw out …
  • HOUSE_OVERSIGHT_014717
    … <10% chance current proposal of BAT will get passed • Paul Ryan/Keven Brandy's proposal implies USD will appreciate +25%. Ryan is …
  • HOUSE_OVERSIGHT_033396
    … for so long that now everybody is expecting the worst," Paul Meeks, a technology portfolio manager at Wireless Fund, told Amos. …
  • HOUSE_OVERSIGHT_033395
    … are too big and need to be reined in." — Paul Gallant, an analyst with Cowen Washington Research Group Big Tech …
  • HOUSE_OVERSIGHT_033257
    From: paul krassner Sent: 10/16/2017 5:12:25 PM To: jeffrey E. [jeeyacation@gmail.com] Subject: …
  • HOUSE_OVERSIGHT_031400
    … gratification of others." The victims' attorneys — Edwards, Scarola and Paul Cassell — have asked the Justice Department to throw out …
  • HOUSE_OVERSIGHT_022404
    A Ukrainian lawmaker claimed documents show Paul Manafort attempted to hide payments he received from a political …
  • HOUSE_OVERSIGHT_022397
    From: Sent: To: Subject: paul krassner I 3/22/2017 2:35:34 PM jeffrey E. [jeeyacation@gmail.com] Fwd: Wednesday's …
  • HOUSE_OVERSIGHT_031405
    … gratification of others." The victims' attorneys — Edwards, Scarola and Paul Cassell — have asked the Justice Department to throw out …
  • HOUSE_OVERSIGHT_022679
    … the suit in county court in West Palm Beach, while Paul Cassell, a former federal judge known for his critical take …
  • HOUSE_OVERSIGHT_026042
    … are there? gino On 16 Dec 2016, at 6:19 PM, Paul Schulte 1> wrote: Founder and Editor Schulte Research Begin forwarded …
  • HOUSE_OVERSIGHT_026041
    … him when he's in NYC. gino Begin forwarded message: From: Paul Schulte < Subject: Re: Schulte Research: Deep dives into PRC …
  • HOUSE_OVERSIGHT_026601
    … on Wednesday with "Investing in African Prosperity," featuring Rwandan President Paul Kagame, former British Prime Minister Tony Blair, philanthropist Bill Gates, …
  • HOUSE_OVERSIGHT_031409
    … gratification of others." The victims' attorneys — Edwards, Scarola and Paul Cassell — have asked the Justice Department to throw out …
  • HOUSE_OVERSIGHT_029735
    … activity "really has reached its end," Nasr, dean of the Paul H. Nitze School of Advanced International Studies at Johns Hopkins …
  • HOUSE_OVERSIGHT_022690
    … the suit in county court in West Palm Beach, while Paul Cassell, a former federal judge known for his critical take …
  • HOUSE_OVERSIGHT_024951
    … period and resiliently adapted itself during the most critical times. PAUL STOBER, Gulf News What are the main strengths and weaknesses …
  • HOUSE_OVERSIGHT_024950
    … report's producers away from any misleading interpretations of its content. PAUL STOBER, Gulf News The government has taken significant steps to …
  • HOUSE_OVERSIGHT_029032
    … rules had specifically been changed by a guy named Hank Paulson. He was secretary of Treasury. As chairman of Goldman Sachs, …
  • HOUSE_OVERSIGHT_030350
    From: paul krassner Sent: 3/25/2017 12:41:05 AM To: jeffrey E. [jeeyacation@gmail.com] Subject: …
  • HOUSE_OVERSIGHT_018133
    … use because the systems can be so costly. Next month, Paul Whyte, a Markham dealer of smart-home technology that allows ordinary …
  • HOUSE_OVERSIGHT_029553
    … 28, 2011, at 12:36 AM, Katherine Keating <' > wrote: Paul Keating explains as never before • BY:PAUL KELLY, EDITOR-AT-LARGE • …
  • HOUSE_OVERSIGHT_015010
    … currently furthering litigation, including but not limited to plaintiff's mother, Pauline Scala McGuire, and from whom they received and/or have been …
  • HOUSE_OVERSIGHT_030365
    … Subject: Re: Importance: High Thanks. Brad S. Karp I Chairman Paul, Weiss, Rifkind, Wharton & Garrison LLP 1285 Avenue of the …
  • HOUSE_OVERSIGHT_031430
    The victims' attorneys — Edwards, Scarola and Paul Cassell — have asked the Justice Department to throw out …
  • HOUSE_OVERSIGHT_030366
    … me naive, but that's something. Brad S. Karp I Chairman Paul, Weiss, Rifkind, Wharton & Garrison LLP 1285 Avenue of the …
  • HOUSE_OVERSIGHT_029563
    … always have the pad out to write the ideas down." http://www.theaustralian.com.au/news/opinion/paul-keatinq-explains-as-never-before/story-e6frg74x- 1226173493029 HOUSE OVERSIGHT 029563
  • HOUSE_OVERSIGHT_029560
    Paul Keating explains as never before • BY:PAUL KELLY, EDITOR-AT-LARGE • …
  • HOUSE_OVERSIGHT_029558
    … Kindest regards Katherine X Creativity is central to our endeavours BY:PAUL KEATING • From: The Australian October 22, 2011 12:00AM Paul …
  • HOUSE_OVERSIGHT_026902
    … prices that, along with Federal Reserve tightening by then Chairman Paul Volcker, led to a US recession. While we think it …
  • HOUSE_OVERSIGHT_022701
    … the suit in county court in West Palm Beach, while Paul Cassell, a former federal judge known for his critical take …
  • HOUSE_OVERSIGHT_028630
    … spokesman declined comment. Back to top The Decline of E-Empires Paul Krugman — New York Times Steve Ballmer's surprise announcement that …
  • HOUSE_OVERSIGHT_028622
    … text Than Portrayed by the Company The Decline of E-Empires Paul Krugman New York Times Article text As Amazon Stretches, Seattle's …
  • HOUSE_OVERSIGHT_010906
    … FOR BROWARD COUNTY, FLORIDA CIVIL DIVISION BRADLEY J. EDWARDS, and PAUL G. CAS SELL, Plaintiffs, V. ALAN DERSHOWITZ, Defendant. CASE NO. …
  • HOUSE_OVERSIGHT_010905
    … 61. I have directed my attorneys, Bradley J. Edwards and Paul G. Cassell, to pursue all reasonable and legitimate means to …
  • HOUSE_OVERSIGHT_010890
    … Andrews Avenue, Suite 2, Ft. Lauderdale, FL 33301; cassellp@law.utah.edu, to: Paul G. Cassell, Esq.,; smccawley@bsfllp.com, sperkins@bsfllp.com, ftleserve@bsfllp.com to: Sigrid S. McCawley, …
  • HOUSE_OVERSIGHT_010887
    … COUNTY, FLORIDA CASE NO.: CACE 15-000072 BRADLEY J. EDWARDS and PAUL G. CASSELL, Plaintiffs/Counterclaim Defendants, vs. ALAN M. DERSHOWITZ, Defendant/Counterclaim Plaintiff …
  • HOUSE_OVERSIGHT_031741
    … as well as Trump. Unfortunately, that would put House Speaker Paul Ryan in charge. But at least he's not in the …
  • HOUSE_OVERSIGHT_031740
    From: paul krassner Sent: 5/20/2017 9:59:21 PM To: jeffrey E. [jeeyacation@gmail.com] Subject: …
  • HOUSE_OVERSIGHT_030374
    … Very interesting. How are you? Brad S. Karp I Chairman Paul, Weiss, Rifkind, Wharton & Garrison LLP 1285 Avenue of the …
  • HOUSE_OVERSIGHT_026924
    From: paul krassner Sent: 12/20/2018 8:09:23 PM To: Danny Goldberg Subject: Fwd: …
  • HOUSE_OVERSIGHT_031742
    … Jr.'s meeting with the Russian lawyer Trump's former campaign manager Paul Manafort alerted authorities to Donald Trump Jr.'s infamous meeting with …
  • HOUSE_OVERSIGHT_026643
    … nerdy field of macro economics, led in part by Prof Paul Romer of the Stern School of Business. He, of course, …
  • HOUSE_OVERSIGHT_029053
    … rules had specifically been changed by a guy named Hank Paulson. He was secretary of Treasury. As chairman of Goldman Sachs, …
  • HOUSE_OVERSIGHT_030375
    … and left a vm. Brad Brad S. Karp I Chairman Paul, Weiss, Rifkind, Wharton & Garrison LLP 1285 Avenue of the …
  • HOUSE_OVERSIGHT_026938
    From: paul krassner Sent: 3/30/2019 4:23:32 AM To: Steven Gaydos Subject: Re: …
  • HOUSE_OVERSIGHT_030512
    … the Dalai Lama, Bill Gates, George Soros, Stephen Hawking, Sir Paul McCartney, Mick Jaggar and Salman Rushdie. We are a programme …
  • HOUSE_OVERSIGHT_029775
    … Hilary Swank, Kelly Ripa, Carrie Fisher, Bruce Weber, Sean Combs, Paul Haggis, Marisa Tomei, Jay Roach, Kate Beckinsale, Demi Moore and …
  • HOUSE_OVERSIGHT_015023
    … currently furthering litigation, including but not limited to plaintiff's mother, Pauline Scala McGuire, and from whom they received and/or have been …
  • HOUSE_OVERSIGHT_030514
    … the Dalai Lama, Bill Gates, George Soros, Stephen Hawking, Sir Paul McCartney, Mick Jaggar and Salman Rushdie. We are a programme …
  • HOUSE_OVERSIGHT_031661
    From: jeffrey E. [jeeyacation@gmail.com] Sent: 2/16/2017 12:21:27 AM To: paul krassner Subject: Re: Trump i was pointing out that that …
  • HOUSE_OVERSIGHT_030444
    … Barrack has a longstanding relationship with Trump's former campaign chairman, Paul Manafort, and Manafort's onetime deputy, Rick Gates. Gates agreed to …
  • HOUSE_OVERSIGHT_030454
    … the Dalai Lama, Bill Gates, George Soros, Stephen Hawking, Sir Paul McCartney, Mick Jaggar and Salman Rushdie. We are a programme …
  • HOUSE_OVERSIGHT_027710
    Is Read: No Is Invitation: No GUID: A27518A2-1FF1-467D-BDD3-211FA2E51309 Message: like paul revere if i were you id be calling attention to …
  • HOUSE_OVERSIGHT_022262
    … Vinit Sahni Sent: 03/13/2014 09:47 PM EDT To: jeevacation@gmail.com Cc: Paul Morris Subject: Fw: Oil options Classification: External Communication Jeffrey – …
  • HOUSE_OVERSIGHT_026784
    … 212.573.6666, igoldberg@sglawyers.com Jennifer Rossan, 212.573.8783, kossan@sglawyers.com Mitchell Taras, 212.5738417, mtaras@sglawyers.com Paul Fasciano, 212.573.8025, pfasciano@sglawyers.com Paul Marino, 212.573.8158, pmarino@sglawyers.com Richard L. Shamos, …
  • HOUSE_OVERSIGHT_030456
    … the Dalai Lama, Bill Gates, George Soros, Stephen Hawking, Sir Paul McCartney, Mick Jaggar and Salman Rushdie. We are a programme …
  • HOUSE_OVERSIGHT_023454
    … at 3:05 PM, John Brockman < > wrote: >> To: Paul Allen, Jeff Bezos, Sergey Brin. Hubert Burda, Steve Case. John …
  • HOUSE_OVERSIGHT_022272
    … Vinit Sahni Sent: 03/13/2014 09:47 PM EDT To: jeevacation@gmail.com Cc: Paul Morris Subject: Fw: Oil options Classification: External Communication Jeffrey – …
  • HOUSE_OVERSIGHT_030516
    … the Dalai Lama, Bill Gates, George Soros, Stephen Hawking, Sir Paul McCartney, Mick Jaggar and Salman Rushdie. We are a programme …
  • HOUSE_OVERSIGHT_015673
    … the days following the earthquake in 2010. Collaborated with Dr. Paul Farmer of Partners in Health to re-open the University Hospital …
  • HOUSE_OVERSIGHT_015672
    … with corporations, law firms and financial companies including Goldman Sachs, Paul Weiss Rifkind, Schulte Roth, Donna Karan, Warner Music and Federated …
  • HOUSE_OVERSIGHT_011471
    … 425 North Andrews Ave., Ste. 2 Ft. Lauderdale, FL 33301 Paul G. Cassell 383 S. University Street Salt Lake City, UT …
  • HOUSE_OVERSIGHT_018172
    … use because the systems can be so costly. Next month, Paul Whyte, a Markham dealer of smart-home technology that allows ordinary …
  • HOUSE_OVERSIGHT_029251
    … who have already taped with me include John Lithgow, Diane Paulus Julie Taymor Nas Eve Ensler Damian Woetzel Kate Burton Lil …
  • HOUSE_OVERSIGHT_011906
    … Naomi Wadler Nicholas Kristof, honorary female Norah O'Donnell Patricia Evangelista Paula Polito Perri Peltz Robin Roberts Ronan Farrow, honorary female Rula …
  • HOUSE_OVERSIGHT_026666
    … 212.573.8783, jrossan@sglawyers.com John Araneo, 212.573.8158, jaraneo@sglawyers.com Mitchell Taras, 212.5738417, mtaras@sglawyers.com Paul Fasciano, 212.573.8023, pfasciano@sglawyers.com Ron S. Geffner, 212.573.6660, rgeffner@sglawyers.com Sam Lieberman, …
  • HOUSE_OVERSIGHT_016419
    Paul V. Morris Managing Director —The Morris Group Private Banking and …
  • HOUSE_OVERSIGHT_016413
    From: Sent: To: Subject: Attachments: Morris, Paul V 1/15/2019 4:44:33 PM jeffrey E. [jeeyacation@gmail.com] Opportunity Zones image001.jpg; …
  • HOUSE_OVERSIGHT_026440
    From: jeffrey E. [jeeyacation@gmail.com] Sent: 4/23/2017 11:20:28 AM To: paul krassner _______________________________________ Subject: Re: Subject to change you can read …
  • HOUSE_OVERSIGHT_030402
    … Will speak shortly to Michael. Brad S. Karp I Chairman Paul, Weiss, Rifkind, Wharton & Garrison LLP 1285 Avenue of the …
  • HOUSE_OVERSIGHT_033332
    From: paul krassner Sent: 11/28/2018 9:56:58 PM To: J [jeevacation@gmail.com] Subject: Fwd: …
  • HOUSE_OVERSIGHT_016802
    … with any questions you have about our market views. Sincerely, Paul This material was prepared by the Chief Investment Office (CIO) …
  • HOUSE_OVERSIGHT_016801
    From: Sent: To: Subject: Paul Morris 7/2/2019 4:24:45 PM jeevacation@gmail.com Capital Market Outlook Capital Market …
  • HOUSE_OVERSIGHT_029074
    … rules had specifically been changed by a guy named Hank Paulson. He was secretary of Treasury. As chairman of Goldman Sachs, …
  • HOUSE_OVERSIGHT_030214
    From: paul krassner [ Sent: 2/7/2017 7:12:15 PM To: jeffrey E. [jeeyacation@gmail.com] …
  • HOUSE_OVERSIGHT_017580
    *Paul Wolpe*leh Director, Center of Ethics. Prof of Bioethics, Emory. Sr …
  • HOUSE_OVERSIGHT_031774
    From: paul krassner Sent: 3/14/2019 10:26:57 PM To: J [jeevacation@gmail.com] Subject: Fwd: …
  • HOUSE_OVERSIGHT_031772
    From: paul krassner Sent: 2/22/2019 5:18:49 PM To: J [jeeyacation@gmail.com] Subject: Fwd: …
  • HOUSE_OVERSIGHT_030216
    From: jeffrey E. [jeeyacation@gmail.com] Sent: 2/7/2017 7:18:38 PM To: paul krassner Subject: Re: what would you do in order to …
  • HOUSE_OVERSIGHT_033345
    From: Sent: To: Subject: paul krassner 3/24/2019 5:48:38 PM Fwd: Palmer Report updated – 03/24/2019 …
  • HOUSE_OVERSIGHT_017588
    … Fmr Prtnr, McKinsey. Former Senior Partner, Booz Allen & Hamilton. *Paul Wolpe*— Director, Center of Ethics. Prof of Bioethics, Emory. Sr …
  • HOUSE_OVERSIGHT_030587
    … the Dalai Lama, Bill Gates, George Soros, Stephen Hawking, Sir Paul McCartney, Mick Jaggar and Salman Rushdie. We are a programme …
  • HOUSE_OVERSIGHT_033357
    From: paul krassner Sent: 5/9/2019 11:24:30 PM To: Kevin Bright Subject: my …
  • HOUSE_OVERSIGHT_032457
    From: Sent: To: CC: Nancy Cain Subject: P.S. paul krassne 2/8/2017 12:34:24 AM jeffrey E. [jeeyacation@gmail.com] Importance: High neglected …
  • HOUSE_OVERSIGHT_033225
    From: paul krassner Sent: 2/12/2017 12:25:16 AM To: DANNY GOLDBERG ; Sam/Walli …
  • HOUSE_OVERSIGHT_031779
    From: paul krassner Sent: 3/29/2019 11:28:13 PM To: Steven Gaydos Subject: IMPORTANT …
  • HOUSE_OVERSIGHT_033241
    From: paul krassner________________________________________ Sent: 6/3/2017 6:36:57 PM To: jeffrey E. [jeeyacation@gmail.com] Subject: …
  • HOUSE_OVERSIGHT_033383
    … out current status. —–Original Message—– From: Jeffrey Epstein <jeevacation@gmail.com> To: paul prosperi Sent: Thu, Feb 10, 2011 7:56 am I think …
  • HOUSE_OVERSIGHT_033384
    … Sent: 3/25/2011 3:00:02 PM To: jeevacation@gmail.com Subject: Re: Importance: High Paul Rampell does act as Donald Trump's attorney for some personal, …
  • HOUSE_OVERSIGHT_031805
    … E. <jeevacation@gmail.com> Sent: Friday, July 13, 2018 7:11 AM To: Paul Barrett Subject: Richard Kahn Im not angry, sorry, it is …
  • HOUSE_OVERSIGHT_031804
    From: Paul Barred Sent: 7/13/2018 5:40:46 PM To: jeffrey E. [jeeyacation@gmail.com]; Richard …
  • HOUSE_OVERSIGHT_032484
    From: paul krassner Sent: 2/16/2017 12:07:16 AM To: jeffrey E. [jeeyacation@gmail.com] Subject: …
  • HOUSE_OVERSIGHT_031807
    … would fully expect more clarity from management before August expiry. Paul Paul Barrett Alpha Group Capital LLC 142 W 57th Street, …
  • HOUSE_OVERSIGHT_031806
    From: Paul Barrett Sent: 7/13/2018 6:13:06 PM To: jeffrey E. [jeeyacation@gmail.com] CC: …
  • HOUSE_OVERSIGHT_031811
    Paul Barrett Alpha Group Capital LLC 142 W 57th Street, 11th …
  • HOUSE_OVERSIGHT_031810
    … puts ??? On Fri, Jul 13, 2018 at 1:40 PM Paul Barrett .11=IMIMM> wrote: Any thoughts on the AVGO Aug puts? …
  • HOUSE_OVERSIGHT_031809
    … its end On Fri, Jul 13, 2018 at 2:13 PM Paul Barrett < > wrote: My initial recommendation this morning was …
  • HOUSE_OVERSIGHT_033561
    … From: BRYAN SUBOTNICK 411111111111> To: ; Subotnick Stuart 11111111111111111111>; Prosperi Paul Sent: Tue, Jan 21, 2014 4:35 pm Subject: Why Palm …
  • HOUSE_OVERSIGHT_029822
    … activity "really has reached its end," Nasr, dean of the Paul H. Nitze School of Advanced International Studies at Johns Hopkins …
  • HOUSE_OVERSIGHT_029291
    … His 100 million dollar plane he said be bought from paul allen, is really a 1991 boeing 757 previously used by …
  • HOUSE_OVERSIGHT_029846
    … and entertainment, with special performance by The Roots. Speaker(s): Captain Paul Bud Bucha. Intrepid Sea, Air & Space Museum. New York. …
  • HOUSE_OVERSIGHT_031334
    … the United States top Congressman, and 2012 Presidential candidate, Ron Paul has long stated his belief that the US government has …
  • HOUSE_OVERSIGHT_031335
    … the United States top Congressman, and 2012 Presidential candidate, Ron Paul has long stated his belief that the US government has …
  • HOUSE_OVERSIGHT_029348
    … article: Tobin Harshaw at tharshaw@bloomberg.net. Alan S. Halperin I Partner Paul, Weiss, Rifkind, Wharton & Garrison LLP 1285 Avenue of the …
  • HOUSE_OVERSIGHT_031340
    From: paul krassner Sent: 8/1/2018 11:59:13 PM To: jeffrey E. [jeeyacation@gmail.com] Subject: …
  • HOUSE_OVERSIGHT_019018
    … The subscriber information confirmed that the number Ls registered to Paul A Lavery from Hialeah, Florida. The address was crossed referenced …
  • HOUSE_OVERSIGHT_018995
    … 2005, at a Roadhouse in Orlando. He identified himself as Paul and inquired about the police investigation and left his telephone …
  • HOUSE_OVERSIGHT_018905
    … by a private investigator for Epstein. He identified himself as "Paul" and inquired about the police investigation, and left his telephone …
  • HOUSE_OVERSIGHT_019087
    … Bridges, Horizon, and Crossroads. I spent time performing magic for Paul Newman and the children diagnosed with serious illnesses at the …
  • HOUSE_OVERSIGHT_029429
    … 12:27:05 PM EDT To: all-research@mitedu Cc: Suzanne Pettit < >, Paul Schierenbeck <___________________ Reply-To: III — 1 Massachusetts Institute of Technology …
  • HOUSE_OVERSIGHT_029905
    From: paul krassner Sent: 3/7/2019 4:27:09 AM To: J [jeevacation@gmail.com] Subject: Fwd: …
  • HOUSE_OVERSIGHT_029901
    … W. Daniel Hiliis, Nicholas Humphrey,christian Keysers, Haim Harari, John Allen Paulos, Bruce Hood, Howard Gardner. PERMALINK: http://www.edge.org/q2011/q1l_index.html user id: edge password: …
  • HOUSE_OVERSIGHT_025155
    … they can afford to be so bad at detecting deception. Paul Ekman, the famous emotion researcher, claims that when we see …
  • HOUSE_OVERSIGHT_029903
    From: J [jeevacation@gmail.com] Sent: 3/7/2019 12:02:12 PM To: paul krassner Subject: Re: Media Magic: How a Democrat Pedophile Became …
  • HOUSE_OVERSIGHT_029907
    From: paul krassner _________________________________________ Sent: 3/7/2019 3:02:42 PM To: J [jeevacation@gmail.com] Subject: …
  • HOUSE_OVERSIGHT_028782
    … Kidder's Mountains Beyond Mountains, a biography of anthropologist and physician Paul Farmer, detail Kim's bold efforts to combat international HIV and …
  • HOUSE_OVERSIGHT_019297
    … YORK, NEW YORK 10020 TEL FAX: wmv.ccbalaw.com February 7, 2018 Paul G. Cassell S.J. Quinney College of Law at the University …
  • HOUSE_OVERSIGHT_028784
    … Groff < To: Jeffrey Epstein CC <jeevacation@gmail.com>; Seminar-MONEY Marc Andreesen Paul Batista (Not sure this is who you mean) Jeff Bezos …
  • HOUSE_OVERSIGHT_029981
    … Epstein <jeevacation@gmail.com> Date: Sun, 31 Mar 2013 01:41:30 +0100 To: Paula Subject: Re: Studio come afterward, i have interesting people. ehud …
  • HOUSE_OVERSIGHT_022977
    From: Sent: To: Subject: Attachments: paul krassner______________________________________ 5/5/2017 3:19:21 PM jeffrey E. [jeeyacation@gmail.com] I ONLY FORWARD …
  • HOUSE_OVERSIGHT_025202
    From: jeffrey E. [jeevacation@gmail.com] Sent: 9/18/2018 10:40:13 PM To: paul krassner [ Subject: Re: deja' vu' by pk great On …
  • HOUSE_OVERSIGHT_027393
    … should meet brad Karp. Head of the law firm of Paul Weiss. Serious guys. Sender: e:jeeitunes@gmail.com Time: 08/05/18 08:09:45 AM (555174585) …
  • HOUSE_OVERSIGHT_025330
    … simple (Ha!) way to explain to the audience "Why is Paul going there?" Squeaky asking for the LSD rather than you …
  • HOUSE_OVERSIGHT_025329
    From: paul krassner [paulkrassner@roadrunner.com] Sent: 1/16/2019 7:50:41 PM To: Nancy Cain [ …
  • HOUSE_OVERSIGHT_031815
    … would fully expect more clarity from management before August expiry. Paul Paul Barrett Alpha Group Capital LLC 142 W 57th Street, …
  • HOUSE_OVERSIGHT_031814
    … 35 days until we hopefully get more clarity from management. Paul Barrett Alpha Group Capital LLC 142 W 57th Street, 11th …
  • HOUSE_OVERSIGHT_031813
    … its end On Fri, Jul 13, 2018 at 2:13 PM Paul Barrett wrote: HOUSE OVERSIGHT 031813
  • HOUSE_OVERSIGHT_031820
    … would fully expect more clarity from management before August expiry. Paul Paul Barrett Alpha Group Capital LLC 142 W 57th Street, …
  • HOUSE_OVERSIGHT_031819
    … E. <jeevacation@gmail.com> Sent: Friday, July 13, 2018 1:55 PM To: Paul Barrett Cc: Richard Kahn <:_____________________________________ Subject: Re: AVGO lye had …
  • HOUSE_OVERSIGHT_031818
    From: Paul Barrett Sent: 7/13/2018 6:57:15 PM To: jeffrey E. [jeeyacation@gmail.com] CC: …
  • HOUSE_OVERSIGHT_033568
    From: Sent: To: paul krassner 2/10/2019 12:09:30 AM ; Tom Goldberg ; Kevin Bright …
  • HOUSE_OVERSIGHT_031827
    … Treasury secretary — not Robert E. Rubin or Henry M. Paulson Jr. or Timothy F. Geithner — submit to Mr. Ferguson's …
  • HOUSE_OVERSIGHT_031826
    … by the film reviewers of The New York Times. Henry Paulson, Ben Bernanke and Timothy Geithner in the documentary "Inside Job." …
  • HOUSE_OVERSIGHT_031831
    … Treasury secretary — not Robert E. Rubin or Henry M. Paulson Jr. or Timothy F. Geithner — submit to Mr. Ferguson's …
  • HOUSE_OVERSIGHT_031830
    … by the film reviewers of The New York Times. Henry Paulson, Ben Bernanke and Timothy Geithner in the documentary "Inside Job." …
  • HOUSE_OVERSIGHT_031978
    … Cavalier cover: "BEAT 'EM SENSELESS FIRST"___THE FREE SPEECH CONTROVERSY, BY PAUL KRASSNER . . . "Ironically," I wrote, "it is this …
  • HOUSE_OVERSIGHT_031973
    From: paul krassner Sent: 5/15/2019 12:17:32 AM To: George Krassner Rebecca Risman …
  • HOUSE_OVERSIGHT_031987
    … Treasury secretary — not Robert E. Rubin or Henry M. Paulson Jr. or Timothy F. Geithner — submit to Mr. Ferguson's …
  • HOUSE_OVERSIGHT_031986
    … reviewers of The New York Times. Sony Pictures Classics Henry Paulson, Ben Bernanke and Timothy Geithner in the documentary "Inside Job." …
  • HOUSE_OVERSIGHT_031988
    … reviewers of The New York Times. Sony Pictures Classics Henry Paulson, Ben Bernanke and Timothy Geithner in the documentary "Inside Job." …
  • HOUSE_OVERSIGHT_033097
    From: jeffrey E. [jeeyacation@gmail.com] Sent: 7/13/2018 11:11:16 AM To: Paul Barrett Importance: High • Richard Kahn Im not angry, sorry, …
  • HOUSE_OVERSIGHT_032000
    … bases the new villain on hedge fund billionaires like John Paulson and Mike Novogratz, geniuses who have created stratospheric wealth beyond …
  • HOUSE_OVERSIGHT_032006
    … bases the new villain on hedge fund billionaires like John Paulson and Mike Novogratz, geniuses who have created stratospheric wealth beyond …
  • HOUSE_OVERSIGHT_019401
    … working paper 11901, December 2005. X. JAPAN'S DEFLATION TRAP *Krugman, Paul, "It's Baaack: Japan's Slump and the Return of the Liquidity …
  • HOUSE_OVERSIGHT_027447
    … Read: Yes Is Invitation: No GUID: BD6CBC1E-DBB9-4B93-874C-38202BFEAElF Message: Lots — Paul singer plot to have trump lose house , have nikki …
  • HOUSE_OVERSIGHT_028922
    … international underage sex ring. Edwards, the Fort Lauderdale lawyer, and Paul Cassell, a former federal judge who now teaches law at …
  • HOUSE_OVERSIGHT_023199
    … who have already taped with me include John Lithgow, Diane Paulus Julie Taymor Nas Eve Ensler Damian Woetzel Kate Burton Lil …
  • HOUSE_OVERSIGHT_023203
    … who have already taped with me include John Lithgow, Diane Paulus Julie Taymor Nas Eve Ensler Damian Woetzel Kate Burton Lil …
  • HOUSE_OVERSIGHT_019421
    … spokesman declined comment. Back to top The Decline of E-Empires Paul Krugman — New York Times Steve Ballmer's surprise announcement that …
  • HOUSE_OVERSIGHT_019413
    … text Than Portrayed by the Company The Decline of E-Empires Paul Krugman New York Times Article text As Amazon Stretches, Seattle's …
  • HOUSE_OVERSIGHT_023206
    … who have already taped with me include John Lithgow, Diane Paulus Julie Taymor Nas Eve Ensler Damian Woetzel Kate Burton Lil …
  • HOUSE_OVERSIGHT_019465
    … having just spent six hours on a flight sitting next Paula Wagner who is Tom Cruise's ex-agent turned Broadway producer for …
  • HOUSE_OVERSIGHT_019474
    … and detention centers. I also truly enjoyed performing magic for Paul Newman and groups of children at the Hole in the …
  • HOUSE_OVERSIGHT_028955
    … who have already taped with me include John Lithgow, Diane Paulus Julie Taymor Nas Eve Ensler Damian Woetzel Kate Burton Lil …
  • HOUSE_OVERSIGHT_019476
    … and detention centers. I also truly enjoyed performing magic for Paul Newman and groups of children at the Hole in the …
  • HOUSE_OVERSIGHT_025589
    … Oliver Goodenough [ ; Tim Kane • Rob Hanson ; Paul Zak [ ; Bobby McCormick ; Terry Anderson ]; Clive …
  • HOUSE_OVERSIGHT_020819
    … from a congressional investigation. In a Thursday press conference, Speaker Paul Ryan bluntly noted that Intelligence Chairman Devin Nunes's request for …
  • HOUSE_OVERSIGHT_023280
    … etc. . many outside counsel with litle or no coordination. Paul Weisss , Mcdermit Will, Macfarlanes. Price Waterhouse , Reich, withers …
  • HOUSE_OVERSIGHT_023279
    … refunds etc. . rationalize all outside counsels and accounting firms Paul Weisss , Mcdermit Will, Macfarlanes. Price Waterhouse , Reich, withers …
  • HOUSE_OVERSIGHT_023278
    … etc. . many outside counsel with litle or no coordination. Paul Weisss , Mcdermit Will, Macfarlanes. Price Waterhouse, Reich, withers bergman, …
  • HOUSE_OVERSIGHT_023274
    … merely getting me the answer. he has talked to joslin paul weiss , you, you wanted to ask brad karp. ( …
  • HOUSE_OVERSIGHT_023265
    … , not imposed on any other professional, except me, not paul weiss ,( caesars alone, a direct screw up on their …
  • HOUSE_OVERSIGHT_023263
    … your partners on death. Alan, for years told me that paul weiss had drawn the docs so no issue but when …
  • HOUSE_OVERSIGHT_023252
    … , not imposed on any other professional, except me, not paul weiss ,( caesars alone, a direct screw up on their …
  • HOUSE_OVERSIGHT_023247
    … be brought in but i would be extra careful having paul weiss given access to entire story. -On an unrelated note- …
  • HOUSE_OVERSIGHT_023245
    … , not imposed on any other professional, except me, not paul weiss ,( caesars alone, a direct screw up on their …
  • HOUSE_OVERSIGHT_023243
    … , not imposed on any other professional, except me, not paul weiss ,( caesars alone, a direct screw up on their …
  • HOUSE_OVERSIGHT_023242
    I 1 www.paulweiss.com (10 hours ago) to me Jeffrey Pete informs the GIV …
  • HOUSE_OVERSIGHT_023241
    … response and next steps. Thanks. Alan Alan S. Halperin 1Partner Paul, Weiss, Rifkind, Wharton & Garrison LLP 1285 Avenue of the …
  • HOUSE_OVERSIGHT_023240
    … , not imposed on any other professional, except me, not paul weiss ,( caesars alone, a direct screw up on their …
  • HOUSE_OVERSIGHT_023238
    … be brought in but i would be extra careful having paul weiss given access to entire story. -On an unrelated note- …
  • HOUSE_OVERSIGHT_023235
    … your partners on death. Alan, for years told me that paul weiss had drawn the docs so no issue but when …
  • HOUSE_OVERSIGHT_023226
    … 8:59 AM Subject: To: Melanie Spinella <________________________________ 1 did the paul weiss bill get paid ??? 2. Talk to me before …
  • HOUSE_OVERSIGHT_023222
    … refunds etc. . rationalize all outside counsels and accounting firms Paul Weisss , Mcdermit Will, Macfarlanes. Price Waterhouse , Reich, withers …
  • HOUSE_OVERSIGHT_023221
    1 did the paul weiss bill get paid ??? 2. Talk to me before …
  • HOUSE_OVERSIGHT_023215
    … to work with ADA ALan etc, coordinating with Apollo, Akin, paul weiss , new acct openings, sec filings, sales tax review, …
  • HOUSE_OVERSIGHT_021236
    … bases the new villain on hedge fund billionaires like John Paulson and Mike Novogratz, geniuses who have created stratospheric wealth beyond …
  • HOUSE_OVERSIGHT_021110
    … from a congressional investigation. In a Thursday press conference, Speaker Paul Ryan bluntly noted that Intelligence Chairman Devin Nunes's request for …
  • HOUSE_OVERSIGHT_023355
    … etc. . many outside counsel with litle or no coordination. Paul Weisss , Mcdermit Will, Macfarlanes. Price Waterhouse , Reich, withers …
  • HOUSE_OVERSIGHT_023354
    … refunds etc. . rationalize all outside counsels and accounting firms Paul Weisss , Mcdermit Will, Macfarlanes. Price Waterhouse , Reich, withers …
  • HOUSE_OVERSIGHT_023353
    … etc. . many outside counsel with litle or no coordination. Paul Weisss , Mcdermit Will, Macfarlanes. Price Waterhouse , Reich, withers …
  • HOUSE_OVERSIGHT_023349
    … merely getting me the answer. he has talked to joslin paul weiss , you, you wanted to ask brad karp. ( …
  • HOUSE_OVERSIGHT_023342
    … not imposed on any other professional , except me, not paul weiss ,( caesars alone , a direct screw up on …
  • HOUSE_OVERSIGHT_023340
    … your partners on death. Alan, for years told me that paul weiss had drawn the docs so no issue but when …
  • HOUSE_OVERSIGHT_023331
    … not imposed on any other professional , except me, not paul weiss ,( caesars alone , a direct screw up on …
  • HOUSE_OVERSIGHT_023326
    … be brought in but i would be extra careful having paul weiss given access to entire story. -On an unrelated note- …
  • HOUSE_OVERSIGHT_023324
    … not imposed on any other professional , except me, not paul weiss ,( caesars alone , a direct screw up on …
  • HOUSE_OVERSIGHT_023323
    … not imposed on any other professional , except me, not paul weiss ,( caesars alone , a direct screw up on …
  • HOUSE_OVERSIGHT_023321
    … discuss the response and next steps. Thanks. Alan Alan S. Halperin1PartneristpiPaul, Weiss, Rifkind, Wharton & Garrison LLP[slp]1285 Avenue of the Americas …
  • HOUSE_OVERSIGHT_023320
    … not imposed on any other professional , except me, not paul weiss ,( caesars alone , a direct screw up on …
  • HOUSE_OVERSIGHT_023319
    … be brought in but i would be extra careful having paul weiss given access to entire story. -On an unrelated note- …
  • HOUSE_OVERSIGHT_023316
    … your partners on death. Alan, for years told me that paul weiss had drawn the docs so no issue but when …
  • HOUSE_OVERSIGHT_023307
    … at 8:59 AM Subject: To: Melanie Spinellal_____________________________________ 1 did the paul weiss bill get paid ??? 2. Talk to me before …
  • HOUSE_OVERSIGHT_023304
    … refunds etc. . rationalize all outside counsels and accounting firms Paul Weisss , Mcdermit Will, Macfarlanes. Price Waterhouse , Reich, withers …
  • HOUSE_OVERSIGHT_023303
    … etc. . many outside counsel with litle or no coordination. Paul Weisss , Mcdermit Will, Macfarlanes. Price Waterhouse , Reich, withers …
  • HOUSE_OVERSIGHT_023302
    … at 8:59 AM Subject: To: Melanie Spinella 1 did the paul weiss bill get paid ??? 2. Talk to me before …
  • HOUSE_OVERSIGHT_023297
    … with ADA ALan etc , coordinating with Apollo, Akin , paul weiss , new acct openings, sec filings , sales tax …
  • HOUSE_OVERSIGHT_021242
    … bases the new villain on hedge fund billionaires like John Paulson and Mike Novogratz, geniuses who have created stratospheric wealth beyond …
  • HOUSE_OVERSIGHT_013461
    … Kidder's Mountains Beyond Mountains, a biography of anthropologist and physician Paul Farmer, detail Kim's bold efforts to combat international HIV and …
  • HOUSE_OVERSIGHT_013413
    … in a 24-page court filing by attorneys Brad Edwards and Paul Cassell on behalf of Jane Doe. Edwards represents Doe and …
  • HOUSE_OVERSIGHT_013411
    … Lauderdale attorney Brad Edwards and Utah attorney and law professor Paul Cassell are fighting to obtain the 22-minute tape on behalf …
  • HOUSE_OVERSIGHT_013408
    … Jeffrey Epstein without notifying his victims. Attorneys Brad Edwards and Paul Cassell, representing Jane Doe #1 and Jane Doe #2, want …
  • HOUSE_OVERSIGHT_013406
    … say, he masturbated and sexually assaulted them. Brad Edwards and Paul Cassell, attorneys representing two of his alleged victims, say in …
  • HOUSE_OVERSIGHT_014284
    … a.m. Concluded: 1:22 p.m. 17 PLACE: Southern Reporting Company B. Paul Katz Professional Center 18 (SunTrust Building) 19 One Florida Park …
  • HOUSE_OVERSIGHT_014120
    … 425 North Andrews Avenue, Suite 2 Fort Lauderdale, Florida 33301 Paul G. Cassell (Pro Hac Vice) S.J. Quinney College of Law …
  • HOUSE_OVERSIGHT_012716
    … and entertainment, with special performance by The Roots. Speaker(s): Captain Paul Bud Bucha. Intrepid Sea, Air & Space Museum. New York. …
  • HOUSE_OVERSIGHT_013488
    … Fmr Prtnr, McKinsey. Former Senior Partner, Booz Allen & Hamilton. Paul Wolpe — Director, Center of Ethics. Prof of Bioethics, Emory. …
  • HOUSE_OVERSIGHT_012709
    … Staff Pasqual "Pat" Diaz Investigators RRA Pat Roberts Investigators RRA Paul Cassel Co-Counsel on Epstein Case Phaedra Xanthos Forensic Accountant Priscila …
  • HOUSE_OVERSIGHT_022260
    From: Vinit Sahni Sent: 3/14/2014 2:24:19 AM To: jeeyacation@gmail.com CC: Paul Morris Subject: Re: Oil options Attachments: graycol.gif Importance: High Classification: …
  • HOUSE_OVERSIGHT_012687
    … Hilary Swank, Kelly Ripa, Carrie Fisher, Bruce Weber, Sean Combs, Paul Haggis, Marisa Tomei, Jay Roach, Kate Beckinsale, Demi Moore and …
  • HOUSE_OVERSIGHT_013479
    … Fistos & Lehrman, PL 425 N. Andrews Ave. Suite #2 Paul G. Cassell, Esq. Pro Hac Vice 332 South 1400 E, …
  • HOUSE_OVERSIGHT_013468
    … in Jacksonville, Florida with Jay Howell & Associates) and Professor Paul Cassell (a law professor at the University of Utah College …
  • HOUSE_OVERSIGHT_013494
    … in Jacksonville, Florida with Jay Howell & Associates) and Professor Paul Cassell (a law professor at the University of Utah College …
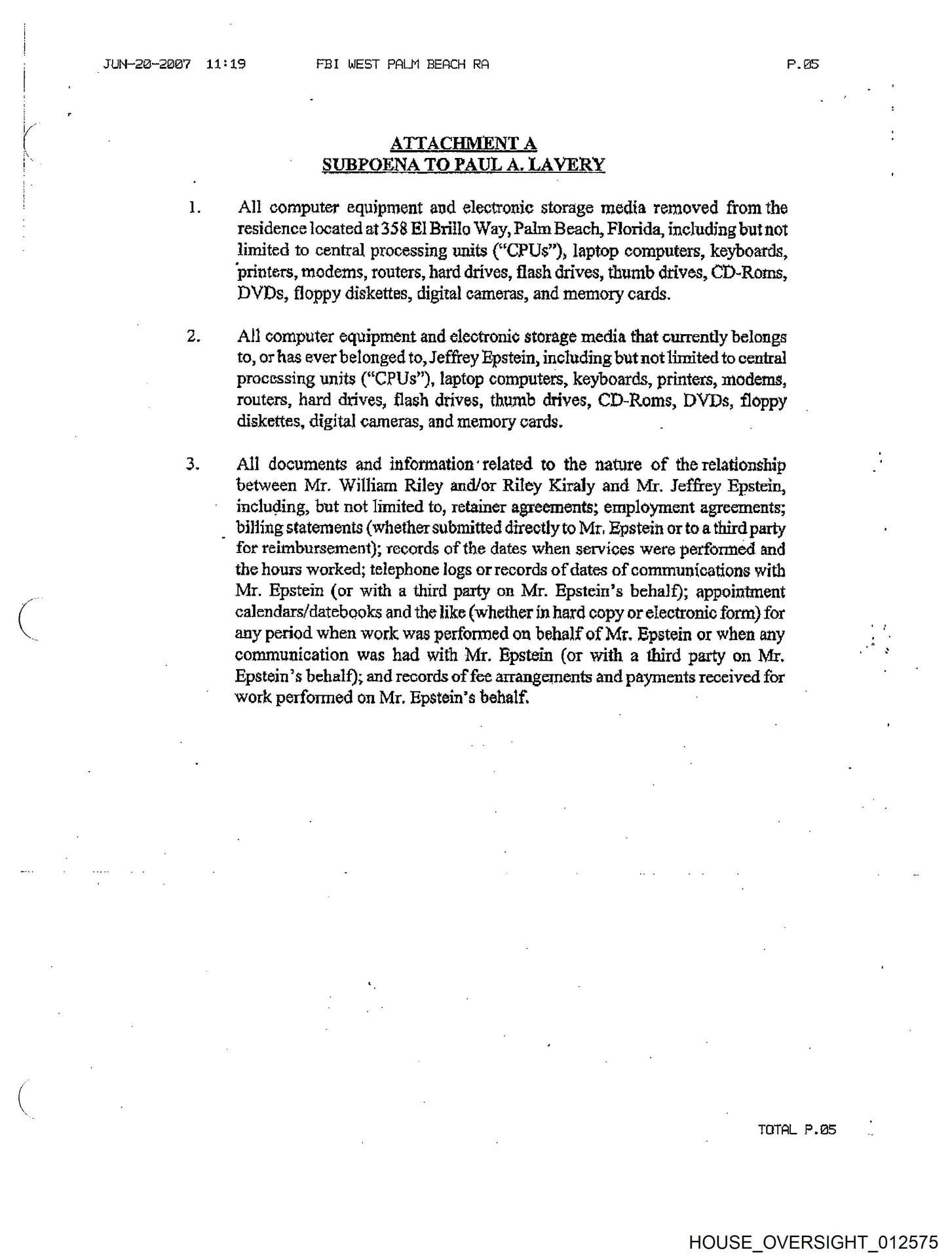
  • HOUSE_OVERSIGHT_012575
    … FBI WEST PALM BEACH RA P.05 ATTACHMENT A SUBPOENA TO PAUL A. LAVERY 1. All computer equipment and electronic storage media …
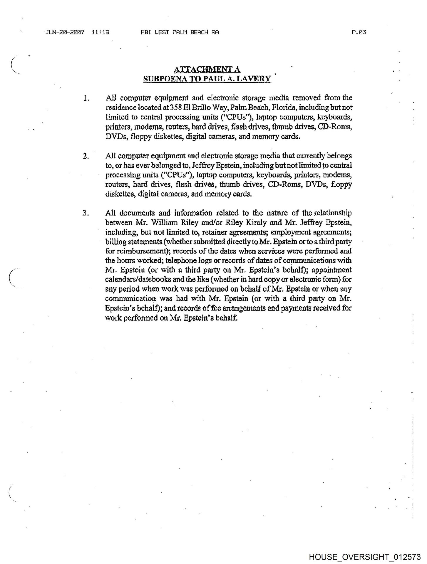
  • HOUSE_OVERSIGHT_012573
    … FBI WEST PALM BERCH RA P.03 ATTACHMENT A SUBPOENA TO PAUL A. LAVERY 1. All computer equipment and electronic storage media …
  • HOUSE_OVERSIGHT_012478
    … answer would be the same for your 23 mom and Paul? 24 A. Yeah. – 25 Q. Have you spoken to …
  • HOUSE_OVERSIGHT_012470
    … 2 BY MR. TEIN: 3 Q. Has your mom's husband Paul spoken to any 4 reporters? 5 A. No. 6 Q. …
  • HOUSE_OVERSIGHT_012461
    … A. Yes, sir. 7 Q. What about 's boy friend Paul? Did 8 you speak to him about Epstein's case? 9 …
  • HOUSE_OVERSIGHT_032190
    … he enjoys as he leaves office," former senior CIA analyst Paul Pillar says. "Gates has long had a knack for nurturing …
  • HOUSE_OVERSIGHT_032183
    … even went as far as to temporarily ban books by Paulo Coelho — simply because his editor in Iran, Arash Hejazi, …
  • HOUSE_OVERSIGHT_031967
    … olor2":"ffc8ff"; "textColor4":"ed9fcf",; "hasAlpha": false, "textColorl":"f9ebfe","bgColor"™: "090010", "hasP3": false, "supportsLayeredImage": false}, "artistName":"RuPaul\u0027s Drag Race", "url":"https://itunes.apple.com/us/tv-season/rupauls-drag-race-season-10- uncensored/id1350762947","shortUr1":"https://itunes.apple.com/us/tv-season/rupauls-— drag-race-season-10-uncensored/id1350762947", "genreNames": ["Reality TV","TV Shows"], "trackCount":30, …
  • HOUSE_OVERSIGHT_031966
    … olor2":"242343","textColor4":"433d5£", "hasAlpha": false, "textColorl":"100a0c", "bgColor": "bea5cc", "hasP3": false, "supportsLayeredImage": false}, "artistName":"RuPaul\u0027s Drag Race All Stars","url":"https://itunes.apple.com/us/tv-season/rupauls-drag-race-all- stars-season-4-uncensored/id1441443639", "shortUrl":"https://itunes.apple.com/us/tv- season/rupauls-drag-race-all-stars-season-4- uncensored/id1441443639", "genreNames": ["Reality …
  • HOUSE_OVERSIGHT_031763
    … anyone? Zapped by the God of Absurdity: The Best of Paul Krassner will be published in 2019 by Fantagraphics with an …
  • HOUSE_OVERSIGHT_031759
    … published a whole dossier on me: In the early 1950s, Paul Krassner was recruited to the stable of pornographers and “social …
  • HOUSE_OVERSIGHT_031758
    … meeting convened by the Yippie organization, featured former Playboy editor Paul Krassner and numerous individuals associated with High Times magazine, Hustler …
  • HOUSE_OVERSIGHT_031753
    Operation Chaos Lives By Paul Krassner If a psychologist testing you in a free association …
  • HOUSE_OVERSIGHT_031372
    … clubs and in 1997 Rotary International conferred on him the Paul Harris Fellowship Award. In 2002 he was awarded the Gandhi, …
  • HOUSE_OVERSIGHT_031170
    … —_| ment from more than 30 underage girls Scarola and Paul Cassell — have asked ; aes aa reel he atellnael …
  • HOUSE_OVERSIGHT_031165
    … government must encourage business to expand and grow. Bill Clinton, Paul Tsongas, Bob Kerrey and others have, I believe, changed the …
  • HOUSE_OVERSIGHT_030842
    … timely read, | just oe, finished William Silber’s book about Paul Volcker. It is great <. context for how we got …
  • HOUSE_OVERSIGHT_030832
    … unheard of, frankly, if you look at these charges," said Paul Cassell, an attorney for the women. Epstein is a native …
  • HOUSE_OVERSIGHT_030557
    … act to avoid a humanitarian disaster in Libya. Signed by Paul Wolfowitz and William Kristol as well as Martin Peretz and …
  • HOUSE_OVERSIGHT_030424
    V. S. Naipaul in conversation with Geordie Greig Tuesday 31st May 2011, 7pm …
  • HOUSE_OVERSIGHT_030423
    … Muir on May 25th, and Nobel Prize-winning author V. S. Naipaul will be discussing Africa, magic and travel with Geordie Greig …
  • HOUSE_OVERSIGHT_030195
    … actually channeling Lenny, until the day that he said, “C’mon, Paul, HOUSE_OVERSIGHT_030195
  • HOUSE_OVERSIGHT_030190
    Lenny had been reading a study of anti-Semitism by Jean-Paul Sartre. Now, on stage, giving credit to Thomas Merton's poem …
  • HOUSE_OVERSIGHT_030081
    … the Mirror: An American Travels Through Syria by Brooke Allen Paul Dry, 259 pp., $16.95 (paper) June 9, 2011 — “Damascus …
  • HOUSE_OVERSIGHT_030027
    … In safeguarding the legacies of innovators like Merce Cunningham and Paul Taylor, we risk losing their spirit. There may be no …
  • HOUSE_OVERSIGHT_030010
    … government must encourage business to expand and grow. Bill Clinton, Paul Tsongas, Bob Kerrey and others have, I believe, changed the …
  • HOUSE_OVERSIGHT_030006
    … government must encourage business to expand and grow. Bill Clinton, Paul Tsongas, Bob Kerrey and others have, I believe, changed the …
  • HOUSE_OVERSIGHT_029449
    2 Howard Stieglitz and Paul Krugman, two superb economists and Nobel Memorial Laureates met with …
  • HOUSE_OVERSIGHT_029238
    … told 1.5. District Judge Kenneth Marra that he and attorney Paul Gasselj will file a 80-page motion for summary judgment by …
  • HOUSE_OVERSIGHT_028391
    … of the Rolling Stones).","type":"text"},{"components":[{"caption":"One of the rhinoceros sculptures near St. Paul's Cathedral in London. Dominic Lipinski/Press Association, via Associated Press","captionComponent":{"text":"One of …
  • HOUSE_OVERSIGHT_028332
    … "text"}, {"identifier":" anf-body- 35","layout":"bodyLayout", "role": "body", "text":"Later that month, however, Paul Manafort was convicted of financial crimes charged by Mueller, and …
  • HOUSE_OVERSIGHT_028331
    … hunt,a€ that a€eflippinga€ witnesses (like Michael Flynn, Rick Gates, and Paul Manafort) almost ought to be illegal, and that the Justice …
  • HOUSE_OVERSIGHT_028329
    … the probe 4€" just a week and a half after Paul Manafort agreed to cooperate with the special counsela€™s team, but …
  • HOUSE_OVERSIGHT_028325
    … that BG's chief executive ae a ep. | artists suchas Paul Cezanne | Chapmen, was back at the Palace lat : …
  • HOUSE_OVERSIGHT_028299
    … starting next Sunday showcasing famous works by artists such as Paul Cezanne and Pablo Picasso. we 4 FS * J ! …
  • HOUSE_OVERSIGHT_028297
    … WOLFE VON LENKIEWICZ & VICTORIA GOLEMBIOVSKAYA PRESS CLIPPING (INTERNET) (2. PaulFraser KeasY Collectible http://www. paulfrasercollectibles.com/section.asp?docid=4519&catid=26 Rare Picasso works worth over £6m …
  • HOUSE_OVERSIGHT_028282
    … the block ina show opposite Frieze Art Fair Text by John-Paul Pryor For what is a man profited, if he gains …
  • HOUSE_OVERSIGHT_027026
    … cells from six separate embryos, said OHSU infertility specialist Dr. Paula Amato, one of the paper's authors. Four of them contained …
  • HOUSE_OVERSIGHT_027008
    … candidates for the scientific board include (in no particular order) Paul Rosenbloom (who worked with Alan Newell on the cognitive architecture …
  • HOUSE_OVERSIGHT_026984
    … person by my etiquette? What would she notice first? , Paul Rodgers, studied at City University London Updated Mar 26 The …
  • HOUSE_OVERSIGHT_026917
    … prices that, along with Federal Reserve tightening by then Chairman Paul Volcker, led to a US recession. While we think it …
  • HOUSE_OVERSIGHT_026851
    … P24 : i Sas Romney 7 ‘ eS | Rand Paul i ’ is a | Christie ZT) ; E ‘ …
  • HOUSE_OVERSIGHT_026804
    … Clinton Gov-Scott Walker (R-WH Senator Bernie Sanders (D-VT) Senator Rand Paul (R-KY) Ex-Gov. Martin O’Malley (D-MD) Dr. Ben Carson Harvard Professor …
  • HOUSE_OVERSIGHT_026795
    … rise early, work hard, strike oil.” ~ = – J. Paul Getty, US businessman J Deutsche Bank Francis J. Kelly Global …
  • HOUSE_OVERSIGHT_026733
    And there’s more urbanization. Even by 2030 Lagos, San Paulo and Delhi will have populations above 30 million. To prevent …
  • HOUSE_OVERSIGHT_026249
    … F. McGahn II Counsel to the President ce: The Honorable Paul Ryan Speaker of the House of Representatives The Honorable Adam …
  • HOUSE_OVERSIGHT_025788
    … D. Ostry, Andrew Berg, and Charalambos G. Tsangarides, February 2014; Saint-Paul, G., and T. Verdier, "Education, Democracy and Growth," Journal of …
  • HOUSE_OVERSIGHT_025702
    … … Read More » Why did you leave Italy? = Paul Ferrise, lived in Italy Updated Apr 30 If I had …
  • HOUSE_OVERSIGHT_025701
    … diversify their supply chain options for the long term? 5 Paul Sutton, Stock Trader, electrical engineer Written Jun 22 Talk is …
  • HOUSE_OVERSIGHT_025633
    … the Arab world and, according to then deputy defense secretary Paul Wolfowitz, was responsible for the killing of more than 100 …
  • HOUSE_OVERSIGHT_025212
    … the feature documentary Let It Come Down: The Life of Paul Bowles, which received a Genie nomination in 1998, a Banff …
  • HOUSE_OVERSIGHT_025211
    … the U.S. and Against Gravity in Poland. The film features Paul Auster, Dannion Brinkley and Fred Frith. It was commissioned by …
  • HOUSE_OVERSIGHT_025210
    … broadcast across Canada. Let it Come Down: The Life of Paul Bowles, her first feature documentary, won a 1999 International Emmy …
  • HOUSE_OVERSIGHT_025207
    … the feature documentary Let It Come Down: The Life of Paul Bowles, which received a Genie nomination in 1998, a Banff …
  • HOUSE_OVERSIGHT_025206
    … the U.S. and Against Gravity in Poland. The film features Paul Auster, Dannion Brinkley and Fred Frith. It was commissioned by …
  • HOUSE_OVERSIGHT_025205
    … broadcast across Canada. Let it Come Down: The Life of Paul Bowles, her first feature documentary, won a 1999 International Emmy …
  • HOUSE_OVERSIGHT_024883
    … 14 Detrot- Warren Dearborn M ie 3k Z 415 Minneapols-St. Paul loomington, MEW 156 Ogs “ ’ ’ 16 Phoentc Mesa …
  • HOUSE_OVERSIGHT_024585
    … Vice President for Education and Strategic Initiatives of the J. Paul Getty Trust. He was also the Deputy to the President …
  • HOUSE_OVERSIGHT_024582
    … is also a Milken Institute Senior Fellow and the Dan Paul Professor of Government at Harvard University’s Kennedy School of Government, …
  • HOUSE_OVERSIGHT_024542
    … Schools Mesa, AZ 11 1 160 Designs for Learning St. Paul, MN 10 1 50 Note: Schools ranked by students in …
  • HOUSE_OVERSIGHT_024381
    … Cavaliercover: “BEAT "EM SENSELESS FIRST” —THE FREE SPEECH CONTROVERSY, BY PAUL KRASSNER… At the University of California in Berkeley on September …
  • HOUSE_OVERSIGHT_024373
    … on Behalf of the Board of Directors The undersigned appoints Paul Breaux and Jonathan Allced {the “Named Proxies”) and each of …
  • HOUSE_OVERSIGHT_024372
    … Ghat Pas Cara's epenent ooo For The undersigned hereby appoints Paul Breaux and Jonathan Allred, and each or either of them, …
  • HOUSE_OVERSIGHT_024326
    … Mr. Gill holds a degree in biology from Stanford University. Paul Breaux has served as our general counsel since August 2015. …
  • HOUSE_OVERSIGHT_024325
    … 41 Chief Brand Officer Daniel Gill 36 Chief Product Officer Paul Breaux 3S Vice President, General Counsel and Secretary Ernest Garcia …
  • HOUSE_OVERSIGHT_024306
    … Tempe, AZ 85281. By Order of the Board of Directors Paul Breaux General Counsel and Secretary HOUSE_OVERSIGHT_024306
  • HOUSE_OVERSIGHT_024298
    … indeed happens when you drop the soap in jail? = Paul Passmore, Activist in the black community Written Jun 30 ina …
  • HOUSE_OVERSIGHT_024275
    BART STEPHENS | BRAD STEPHENS | BROCK PIERCE | PAUL STEPHENS — + Chairman of the * Stepheris Inv. M …
  • HOUSE_OVERSIGHT_024270
    … awe- prosecution, she and top officials torneys, Bradley Edwards and Paul ated a deal that allowed Epstein Victims Rights Act, Villafana …
  • HOUSE_OVERSIGHT_023967
    … president has ever understood this point, however. Chapter 2 1. Paul Ramsden. Learning to Teach in Higher Education. New York: Routledge, …
  • HOUSE_OVERSIGHT_023643
    … out of fear, I thanked him. I always | EP: Paul, this has been so good talking say “He was doing …
  • HOUSE_OVERSIGHT_023642
    … the dribble glasses. But the second Created in 1963 by Paul Krassner and John Francis Putnam, this poster was a staple …
  • HOUSE_OVERSIGHT_023641
    … ie. a8 . v = The Disneyland Memorial Orgy, by Paul Krassner and Wallace Wood, published in the May, 1967 issue …
  • HOUSE_OVERSIGHT_023638
    … Skin So Thin It’s Inside Out” Ethan Persoff talks with Paul Krassner about running The Realist, hacking The New York Times …
  • HOUSE_OVERSIGHT_023485
    … of their ambition. The Republican plan put forward by Representative Paul Ryan of Wisconsin, the chairman of the Budget Committee, and …
  • HOUSE_OVERSIGHT_023478
    … the authoritarian or semi-authoritarian regimes of Meles Zenawi in Ethiopia, Paul Kagame in Rwanda and Yoweri Museveni in Uganda have been …
  • HOUSE_OVERSIGHT_023123
    … Society, Martin Rees. 4. Sarah Silverman and Nobel Prizewinning economist Paul Krugman. 5. William Shatner and Nobel Prize winning physicists Kip …
  • HOUSE_OVERSIGHT_023121
    … Society, Martin Rees. 4. Sarah Silverman and Nobel Prizewinning economist Paul Krugman. 5. William Shatner and Nobel Prize winning physicists Kip …
  • HOUSE_OVERSIGHT_023120
    … Society, Martin Rees. 4. Sarah Silverman and Nobel Prizewinning economist Paul Krugman. 5. William Shatner and Nobel Prize winning physicists Kip …
  • HOUSE_OVERSIGHT_023106
    … Scariest Federal Prosecutor… Page 5 of 5 Ted Wells [at Paul, Weiss, Rifkind, Wharton & Garrison] and | did Mike Espy …
  • HOUSE_OVERSIGHT_023100
    … in family-friendly sitcoms on network TV: Drew Carey, Jason Alexander, Paul Reiser. I asked Mr. Saget, who starred as a lovable …
  • HOUSE_OVERSIGHT_023099
    … appear in the documentary "The Aristocrats," in which another comic, Paul Provenza, and the magician-comedian Penn Jillette interview their peers about …
  • HOUSE_OVERSIGHT_023071
    … could be enacted. In this report, we use House Speaker Paul Ryan’s Blueprint proposal as a starting point in quantifying the …
  • HOUSE_OVERSIGHT_023000
    … history of successful efforts to sex trafficking organization,” her attorney, Paul keep details of Epstein’s sex crimes sealed Ny Cassell, said …
  • HOUSE_OVERSIGHT_022955
    … moral opprobrium (the more salacious the better), and whose editor Paul Dacre has a long time feud with Prince Andrew, put …
  • HOUSE_OVERSIGHT_022914
    … whom Epstein acted as a consultant—along with, he points out, Paul Volcker.) But the characterization persists: if it’s not clear, it …
  • HOUSE_OVERSIGHT_022883
    … whom Epstein acted as a consultant—along with, he points out, Paul Volcker.) But the characterization persists: if it’s not clear, it …
  • HOUSE_OVERSIGHT_022855
    … whom Epstein acted as a consultant—along with, he points out, Paul Volcker.) But the characterization persist: if it’s not clear, it …
  • HOUSE_OVERSIGHT_022847
    … moral opprobrium (the more salacious the better), and whose editor Paul Dacre has a long time feud with Prince Andrew, put …
  • HOUSE_OVERSIGHT_022758
    … whom Epstein acted as a consultant—along with, he points out, Paul Volcker.) But the characterization persist: if it’s not clear, it …
  • HOUSE_OVERSIGHT_022749
    … moral opprobrium (the more salacious the better), and whose editor Paul Dacre has a long time feud with Prince Andrew, put …
  • HOUSE_OVERSIGHT_022730
    … moral opprobrium (the more salacious the better), and whose editor Paul Dacre has a long time feud with Prince Andrew, put …
  • HOUSE_OVERSIGHT_022710
    … moral opprobrium (the more salacious the better), and whose editor Paul Dacre has a long time feud with Prince Andrew, put …
  • HOUSE_OVERSIGHT_022461
    … the Université Grenoble-Alpes. “Ca semble trés intéressant, merci | ” Jean-Paul Delahaye Mathematician, professor emeritus in computer science at the University …
  • HOUSE_OVERSIGHT_022456
    … of your journal. Count me as a happy reader!” Christof Paulus Visiting lecturer in the Department of History at the Ludwig …
  • HOUSE_OVERSIGHT_022389
    … physician services. The legislation (HSAs) and block grant Medicaid. Speaker Paul Ryan and repealed the Medicare physician sustainable growth rate the …
  • HOUSE_OVERSIGHT_022388
    … Income Tax Simplification Act Committee-approved tax treaties that Senator Rand Paul (H.R. 2315), to prohibit wages earned by an employee (R-KY) …
  • HOUSE_OVERSIGHT_022378
    … to govern. The potential for a Freedom Caucus challenge to Paul Ryan’s leadership is unlikely given the party’s strong showing. The …
  • HOUSE_OVERSIGHT_022372
    … 4 for the next two years. The nature of Speaker Paul Ryan’srelationship with President-elect Trump and "7 pi “Better Way” agenda, …
  • HOUSE_OVERSIGHT_022338
    … “abominable” tax code and how it got that way; Lindy Paull’s departure; how 2002-21 7520 rates affect planning techniques — why …
  • HOUSE_OVERSIGHT_022325
    … “extenders” As the year winds down, House Budget Committee Chairman Paul Ryan (R-WI) and Senate Budget Committee Chairman Patty Murray (D-WA) …
  • HOUSE_OVERSIGHT_022210
    … filed by victim Virginia Roberts, was. W. Bush presidency. lawyer Paul Cassell was dismissed by the Maxwell, who has never been …
  • HOUSE_OVERSIGHT_022170
    … he said. “There has 4 4 The suits and countersuits Paul Cassell, Bradley Edwards, and _§ Dershowitz filed against each other …
  • HOUSE_OVERSIGHT_022166
    … t Rothstein’s millions actually The idea that Bradley. Edwards and Paul Cassell were trying to scheme he'd been running since blackmail …
  • HOUSE_OVERSIGHT_022165
    … as well gq | ets. That would give Edwa as Paul Cassell’s, that Virginia Roberts added Dershowitz’s name : to the …
  • HOUSE_OVERSIGHT_022163
    … attempted to convey was that Bradley ’ Edwards and Professor Paul Cassell were unethical lawyers : who fabricated false charges against …
  • HOUSE_OVERSIGHT_022162
    … allegation. She — ; world that Bradley Edwards and Professor Paul Cassell were told you that secretly in 2011, but ~ …
  • HOUSE_OVERSIGHT_022156
    … know whether that phone call was made on a cell Paul Cassell had acted unethically | Phone or a landline? 4 …
  • HOUSE_OVERSIGHT_022155
    … Q: Do you know whether tk that Bradley Edwards and Paul Cassell had acted unethically 4 ; Phone or a landline? …
  • HOUSE_OVERSIGHT_022152
    … my—in my notes. And I could get it for you… Paul Cassell with doing was sub- al -_ Q: When did …
  • HOUSE_OVERSIGHT_022151
    … ‘ A: It’s inmy—in my notes ley Edwards and Professor Paul Cassell with doing was sub- Q: When did you write …
  • HOUSE_OVERSIGHT_022148
    … Brad 2s an evening at home. a | Edwards and Paul Cassell’s lawyer, Jack Scarola, on October 15, ng,” he explains. …
  • HOUSE_OVERSIGHT_022147
    … he describes an evening at home. 3 q Edwards and Paul Cassell’s | “The party was in full swing,” he explains. …
  • HOUSE_OVERSIGHT_022140
    … a former federal judge | he’s ever seen. ofessor named Paul Cassell, he had “They manipulated a young, suggestible woman who …
  • HOUSE_OVERSIGHT_022139
    … he’s ever seen. and University of Utah law professor named Paul Cassell, he had “They manipulated a y filed a lawsuit …
  • HOUSE_OVERSIGHT_022060
    neues Fittuy Ricu seymour and Paula took Gary “There is nothing but nice we can say …
  • HOUSE_OVERSIGHT_022059
    James PATTERSON his father moved out of Brooklyn. Seymour and Paula took Gary “There is nothing but r in. Often they …
  • HOUSE_OVERSIGHT_022058
    … 20 } Jeffrey Epstein: 1953-1969 i 4 effrey Epstein’s mother, Paula, was the daughter of Max and ¥ a Lena Stolofsky, …
  • HOUSE_OVERSIGHT_022057
    … Epstein, he describes an evening at home. a Edwards and Paul Cassell’s | “The party was in full swing,” he explains. …
  • HOUSE_OVERSIGHT_022050
    … with a former federal judge he’s ever seen. yfessor named Paul Cassell, he had “They manipulated a young, suggestible woman who …
  • HOUSE_OVERSIGHT_022049
    … he’s ever seen. and University of Utah law professor named Paul Cassell, he had “They manipulated a y filed a lawsuit …
  • HOUSE_OVERSIGHT_021840
    … by Bradley J. Edwards and then it says and 23 Paul G. Cassell, pro hac vice, S.J. Queeny [sic] College 24 …
  • HOUSE_OVERSIGHT_021826
    … 1 Sweeder & Ross for Professor Dershowitz. 2 Thereupon, 3 PAUL G. CASSELL, 4 having been first duly sworn, was examined …
  • HOUSE_OVERSIGHT_021825
    … the 6 purpose of taking the videotaped deposition of 7 Paul G. Cassell. The case is Bradley J. Edwards 8 and …
  • HOUSE_OVERSIGHT_021824
    … *** 4 eee 5 CASE NAME: BRADLEY J. EDWARDS and PAUL G. CASSELL vs. 6 ALAN M. DERSHOWITZ 7 WITNESS NAME: …
  • HOUSE_OVERSIGHT_021726
    … Business Manager former congressman and aspiring _ Gennifer (no relation,) Paula(a genu- era and apologizes for the second, mayoral candidate was, …
  • HOUSE_OVERSIGHT_021716
    … in September 2007. North End Georgian-style Attorneys Brad Edwards and Paul Cassell, representing Jane Doe house sells for $12.475 million No. …
  • HOUSE_OVERSIGHT_021551
    … tishardjohnson@nypost.com | A oS Bee 2S Std gay ‘ With Paula Froelich | Lan. © | dee Bs Re aes * …
  • HOUSE_OVERSIGHT_021285
    … Law as Darwinian Natural Right,” Ellen Frenkel, Fred Miller, Jeffrey Paul (eds.), Natural Law and Modern Moral Philosophy (Cambridge: Cambridge University …
  • HOUSE_OVERSIGHT_021284
    … different forms of nature that the conversation between phenomenology, see Paul Ricoeur, religion and science can offer. Hermeneutics and the Human …
  • HOUSE_OVERSIGHT_021283
    … CHASTE MORLEY BEERS marriage and God’s strengthening grace representation of Paul and Luther when and forgiveness were also needed. In Nygren …
  • HOUSE_OVERSIGHT_021280
    … caritas did exactl i a . e what Nysren thought Paul and Luther, Moral Implications of Kin. Altewsa ‘ – and …
  • HOUSE_OVERSIGHT_021279
    … such a range of everyday the writing of the apostle Paul) and meanings and of serious philosophical Martin Luther, the giant …
  • HOUSE_OVERSIGHT_021278
    … the critical might stimulate a revived religious hermeneutic phenomenology” of Paul humanist Ricoeur. Ricoeur advocates beginning ; the study of religion …
  • HOUSE_OVERSIGHT_021139
    … 11, three weeks after the president signed the budget bill, Paul on one mission—the midterms. Every tweet, every speech, every action …
  • HOUSE_OVERSIGHT_021136
    … two-thousand-mile monument meant to run the lican donors such as Paul Singer and Charles Koch—who were eager to entire length of …
  • HOUSE_OVERSIGHT_021130
    … confident that the Mueller team could be made t ager Paul Manafort, his former national security advisor Michael Flynn, understand its …
  • HOUSE_OVERSIGHT_021093
    … titles naming her portraitist whose sitters have included Pope John Paul II, Ronald E friends. The party, like many she hosted, …
  • HOUSE_OVERSIGHT_021027
    … and creativity. These are the engines of future prosperity. — Paul Otellini, CEO, Intel Corporation, 2/10/09 Government targeted and ‘blue sky’ …
  • HOUSE_OVERSIGHT_020864
    … the sustainability of our commitment to growing entitlement programs. — Paul Volcker, Former Chairman of the Federal Reserve Chairman of President …
  • HOUSE_OVERSIGHT_020826
    George P. Shultz, Paul Volcker, Michael Bloomberg, Richard Ravitch and John Doerr February 2011 …
  • HOUSE_OVERSIGHT_020643
    … 2018, https://www.gov.uk/government/news/new-phase-in-golden-era-for-uk -china-relations. 3 Benner et al., “Authoritarian Advance.” 4 Paul Hutcheon, “China Accused of Being Behind Recent Cyber Attack on …
  • HOUSE_OVERSIGHT_020578
    … China.” Wall Street Journal. December 2, 2017. https://www.wsj.com/articles/apple-ceo -to-attend-state-run-internet-conference-in-china-1512178941; Mozur, Paul. “China Presses Its Internet Censorship Efforts across the Globe.” New …
  • HOUSE_OVERSIGHT_020514
    … Institutions.” Foreign Policy. November 28, 2017. https://foreignpolicy.com/2017/11/28 /this-beijing-linked-billionaire-is-funding-policy-research-at-washingtons-most-influential-institutions -china-de. 36 “Paul Tsai China Center: About Us.” https://law.yale.edu/china-center/about-us. 37 Li, Raymond. “Seven …
  • HOUSE_OVERSIGHT_020505
    … the China Law Center founded in 1999 was renamed the Paul Tsai China Center after receiving a $30 million endowment from …
  • HOUSE_OVERSIGHT_020423
    … and Market (Chandos Publishing, London) 2008. p.92 5. “By 2007, Paul Strassmann…”– Staff, “China ‘has .75M zombie computers' in U.S.,” UPI, …
  • HOUSE_OVERSIGHT_020396
    … eavesdropping…” Greenwald. No Place to Hide. op.cit. p.2. On Ron Paul, ibid, p.24 5. “Freedom of the Press Foundation …”– Michael …
  • HOUSE_OVERSIGHT_020392
    … lot like medicine …”– David Weigel, “Edward Snowden and Ron Paul Kick Off Libertarian Student Conference,” Bloomberg News, February 13, 2015. …
  • HOUSE_OVERSIGHT_020381
    … information from his personal notebooks to his mistress and biographer, Paula Broadwell. Although none of this information appeared in her 2012 …
  • HOUSE_OVERSIGHT_020333
    … microphones of personal computers, tablets and smart phones. By 2007, Paul Strassmann, a top US defense expert on cyber-espionage, reported that …
  • HOUSE_OVERSIGHT_020328
    … difficult to find on the Internet. The donors to Ron Paul’s Libertarian election campaign (including Snowden) were a matter of public …
  • HOUSE_OVERSIGHT_020229
    … Obama, he contributed money to the libertarian campaign of Ron Paul, the same candidate to whom Snowden gave money. In August …
  • HOUSE_OVERSIGHT_020223
    … created by Ross Ulbricht, a libertarian who wore a Ron Paul t-shirt, “to create a website where people could buy anything …
  • HOUSE_OVERSIGHT_020215
    … law. He later told a Libertarian gathering, at which Ron Paul also spoke, “Law is a lot like medicine. When you …
  • HOUSE_OVERSIGHT_020214
    … its causes. He became an active partisan of Congressman Ron Paul, the leading figure in the Libertarian Party in 2012. “He's …
  • HOUSE_OVERSIGHT_020174
    … the 2014 Polk Award for national-security reporting. Former Congressman Ron Paul organized a clemency petition in February for Snowden, stating: "Thanks …
  • HOUSE_OVERSIGHT_020134
    … 102, 151, 156 Russian oligarchs, 17, 81, 100-101, 254 Ryan, Paul, 32, 117-21, 159-67, 170-72, 224 Sandberg, Sheryl, 187, 236 Sanders, …
  • HOUSE_OVERSIGHT_020130
    … Rush, 128, 222 Lowe, Rob, 42 Luntz, Frank, 201 Manafort, Paul, 12, 17, 28, 101, 210, 240, 253-56, 278, 280 Manhattan, …
  • HOUSE_OVERSIGHT_020128
    … B., 6-7, 53, 66, 158, 167 Johnson, Woody, 12 Jones, Paula, 201 Jordan, 6 Jordan, Hamilton, 27 Jordan, Vernon, 78 Justice …
  • HOUSE_OVERSIGHT_020095
    … going, said Bannon: they would trace a money trail through Paul Manafort, Michael Flynn, Michael Cohen, and Jared Kushner and roll …
  • HOUSE_OVERSIGHT_020094
    … laundering guy. Their path to fucking Trump goes right through Paul Manafort, Don Jr., and Jared Kushner … It’s as plain …
  • HOUSE_OVERSIGHT_020077
    … clear that everyone’s interests diverged. The fortunes of Don Jr., Paul Manafort, and Jared Kushner hung individually in the balance. Indeed, …
  • HOUSE_OVERSIGHT_020076
    … modern politics. On June 9, 2016, Don Jr., Jared, and Paul Manafort met with a movieworthy cast of dubious characters in …
  • HOUSE_OVERSIGHT_020065
    … agent of implicating others. Dominos would fall. Targets would flip. Paul Manafort, making a good living in international financial gray areas, …
  • HOUSE_OVERSIGHT_020052
    … tax reform—the rollout Trump had promised and then depended on Paul Ryan to deliver—was effectively in tatters. Every senior staff member …
  • HOUSE_OVERSIGHT_020034
    … had played a behind-the-scenes role on the team that represented Paula Jones in her pursuit of Bill Clinton.) In its professional …
  • HOUSE_OVERSIGHT_020005
    … purge of the Tea Party-Trump-Breitbart wing. Instead, the election destroyed Paul Ryan, at least in Steve Bannon’s eyes. Trump had not …
  • HOUSE_OVERSIGHT_020004
    … more “Breitbart shenanigans’”— that they had the votes to replace Paul Ryan as Speaker of the House with Mark Meadows, the …
  • HOUSE_OVERSIGHT_020002
    … evening of March 3, the president watched Bret Baier interview Paul Ryan on Fox. Baier asked the Speaker about a report …
  • HOUSE_OVERSIGHT_019975
    … called him, that had an effect. Priebus could count on Paul Ryan’s clout with him. If Kushner set up Murdoch to …
  • HOUSE_OVERSIGHT_019973
    … Michael Bloomberg White House, and Reince Priebus was running the Paul Ryan White House. It was a 1970s video game, the …
  • HOUSE_OVERSIGHT_019960
    … and been photographed sitting at a dinner with Putin. ¢ Paul Manafort, whom, along with serving as Trump’s campaign manager, Foer …
  • HOUSE_OVERSIGHT_019908
    … quickly became the subject of intense lobbying by House Speaker Paul Ryan and Senate Majority Leader Mitch McConnell. If they were …
  • HOUSE_OVERSIGHT_019905
    … Trump’s eccentric presidential campaign and brokered the deal to have Paul Manafort replace Corey Lewandowski after Lewandowski fell out of favor …
  • HOUSE_OVERSIGHT_019896
    … them, knowing that it would therefore not be a problem. Paul Manafort, the international lobbyist and political operative who Trump retained …
  • HOUSE_OVERSIGHT_019892
    … was back.” Trump quickly soured on his second campaign manager, Paul Manafort, as well. By August, trailing Clinton by 12 to …
  • HOUSE_OVERSIGHT_019867
    … after party at his house. lan and | head to Paul Haggis' intimate Artist for Peace and Justice benefit dinner for …
  • HOUSE_OVERSIGHT_019866
    … ringer for best picture. Spotted: Jean Pigozzi, Brett Ratner and Paul Haggis. Back at The Sunset Tower Bar, diminutive maitre d' …
  • HOUSE_OVERSIGHT_019865
    … best actress, Justin Hurwitz’s best score, and Benj Pasek, Justin Paul and Justin Hurwitz’s best song for “City of Stars.” At …
  • HOUSE_OVERSIGHT_019852
    … after party at his house. lan and | head to Paul Haggis’ intimate Artist for Peace and Justice benefit dinner for …
  • HOUSE_OVERSIGHT_019851
    … ringer for best picture. Spotted: Jean Pigozzi, Brett Ratner and Paul Haggis. Back at The Sunset Tower Bar, diminutive maitre d' …
  • HOUSE_OVERSIGHT_019850
    … best actress, Justin Hurwitz’s best score, and Benj Pasek, Justin Paul and Justin Hurwitz’s best song for “City of Stars.” At …
  • HOUSE_OVERSIGHT_019813
    … Industry and Market (London: Chandos, 2008), 92. 233 By 2007, Paul Strassmann: “China Has .75M ‘Zombie Computers’ in U.S.,” UPI, Sept. …
  • HOUSE_OVERSIGHT_019805
    … to pages 121-129 | 317 119 his son Senator Rand Paul: See Katie Glueck, “Rand Paul Backs Snowden, Bashes Clapper,” Politico, …
  • HOUSE_OVERSIGHT_019804
    … information from his personal notebooks to his mistress and biographer, Paula Broadwell. Although none of this information appeared in her 2012 …
  • HOUSE_OVERSIGHT_019800
    … illegal eavesdropping”: Greenwald, No Place to Hide, 2. On Ron Paul, see ibid., 24. 60 Freedom of the Press Foundation: Michael …
  • HOUSE_OVERSIGHT_019798
    … a lot like medicine’: David Weigel, “Edward Snowden and Ron Paul Kick Off Libertarian Student Conference,” Bloomberg News, Feb. 13, 2015. …
  • HOUSE_OVERSIGHT_019724
    … microphones of personal computers, tablets, and smart phones. By 2007, Paul Strassmann, a top U.S. defense expert on cyber espionage, reported …
  • HOUSE_OVERSIGHT_019718
    … difficult to find on the Internet. The donors to Ron Paul's libertarian election campaign (including Snowden) were a matter of public …
  • HOUSE_OVERSIGHT_019607
    … status of a “human rights defender.” The former congressman Ron Paul went even further. He orga- nized a clemency petition in …
  • HOUSE_OVERSIGHT_019548
    … Obama, he contributed money to the libertarian campaign of Ron Paul, the same candidate to whom Snowden gave money. In August …
  • HOUSE_OVERSIGHT_019539
    … ated by Ross Ulbricht, a Libertarian who wore a Ron Paul T-shirt, as a website where “people could buy anything anonymously, …
  • HOUSE_OVERSIGHT_019528
    … “When you have too much it can be fatal.” Like Paul, Snowden ardently opposed any form of gun control, as did …
  • HOUSE_OVERSIGHT_019527
    … its causes. He became an active partisan of Congressman Ron Paul, the leading fig- ure in the party in 2012. “He’s …
  • HOUSE_OVERSIGHT_019280
    … Right),” Quartz, January 15, 2015, http:// qz.com/326487/putin-has-friends-on-europes-far-right-and-left-but-mostly-right/. 11. Amber Phillips, “Paul Manafort's Complicated Ties to Ukraine, Explained,” Washington Post, August 19, …
  • HOUSE_OVERSIGHT_019278
    … autocrats failed, as members of Congress and the American me- Paul Manafort, a Washington lobbyist and consultant, dia made Tymoshenkos fate …
  • HOUSE_OVERSIGHT_019214
    … Beach, Fla. They included John Noseworthy of the Mayo Clinic, Paul Rothman of Johns Hopkins Medicine, David Torchiana of Partners HealthCare …
  • HOUSE_OVERSIGHT_019213
    … president and chief executive officer of the Mayo Clinic; Dr. Paul B. Rothman, dean of the medical faculty, vice president for …
  • HOUSE_OVERSIGHT_018871
    … the'season‘and'we 528 Page 3 igh’ lifts th Ss. P. d Paul, 4-1 Kean High's energy lifts them over Ss. Peter and …
  • HOUSE_OVERSIGHT_018868
    … 2042…….. TOdaY……s..4 Davis K’Shawn Robles, Chequida Robles, The first view- Paula Gonzalez Martinez Chereda Robles, Pamesha Perez, ing will be held …
  • HOUSE_OVERSIGHT_018865
    … Lady Rays’ 3-1 home win over the Ss. Peter & Paul Lady CONTINUED FROM THE BACK PAGE more poise to give …
  • HOUSE_OVERSIGHT_018396
    … world. It was what floated free from the extension of Paul Virilio’s line: Airplanes produced the 236 In fact: Roy Hassner …
  • HOUSE_OVERSIGHT_018368
    … faster! decisive. Absolute speed is absolute power, as the philosopher Paul Virilio has framed it.19” That idea of “Space Time Compression” …
  • HOUSE_OVERSIGHT_018363
    … medium is the message, but the velocity of the medium,” Paul Virlio observed once in one of his many studies on …
  • HOUSE_OVERSIGHT_018354
    … is spreading in these systems? Who would stop it? Recall Paul Virilo’s line that trains produced train accidents, planes produced airplane …
  • HOUSE_OVERSIGHT_018348
    … “Computer Science and State Machines”, Contribution to a Festschrift honoring Willem-Paul de Roever on his retirement” (Redmond: Microsoft Research, 2008). In …
  • HOUSE_OVERSIGHT_018334
    … are the things we want from connectivity, perverted into danger. Paul Baran would have been impressed to see just how right …
  • HOUSE_OVERSIGHT_018326
    … networks. This was an essential advance over the old ARPANET Paul Baran had helped inspire. That system worked wonderfully by itself, …
  • HOUSE_OVERSIGHT_018323
    … will emerge. Later in life, turning to a philosophical view, Paul Baran said that his webs, distributing themselves around the world …
  • HOUSE_OVERSIGHT_018319
    … a commodity market that causes unexpected chaos. 116 Jn fact; Paul Phister, “Cyberspace: The Ultimate Complex Adaptive System”, The International C2 …
  • HOUSE_OVERSIGHT_018313
    … then said, ‘Son, here’s how a telephone works….”” Of course Paul Baran knew how a telephone worked. You jacked one point …
  • HOUSE_OVERSIGHT_018312
    Long before Paul Baran dreamed up the networks that were required to solve …
  • HOUSE_OVERSIGHT_018310
    … considering. For much of the information here see “Oral History: Paul Baran” Interview #378 for the IEEE History Center, The Institute …
  • HOUSE_OVERSIGHT_018309
    … so quickly. 1. In 1959 a young aeronautical engineer named Paul Baran, who had been working at Howard Hughes’ aircraft design …
  • HOUSE_OVERSIGHT_018299
    … much as Luther was crying for a restoration of Saint Paul’s sense of a personal faith, he was also starting a …
  • HOUSE_OVERSIGHT_018298
    … as Romans is formally titled, was a letter from Saint Paul to a collection of recalcitrant, 89 John Maynard Keynes’ famous …
  • HOUSE_OVERSIGHT_018286
    … Turchin, “A theory for the formation of large agrarian empires”; Jean-Paul Rodrigue, Claude Comtois, and Brian Slack, The Geography of Transport …
  • HOUSE_OVERSIGHT_018275
    … B.H. Liddell Hart, Strategy, (New York: Faber & Faber, 1967); Paul Kennedy, ed., Grand Strategies in War and Peace (New Haven: …
  • HOUSE_OVERSIGHT_018273
    … (New York: Simon & Schuster, 1995. See chapter one, and Paul Kennedy, The Rise and Fall of the Great Powers (TK …
  • HOUSE_OVERSIGHT_018261
    … Certainty ed. G.E.M. Anscombe and G.H.von Wright Translated by Denis Paul and G.E.M.Anscombe, (Oxford: Blackwell 1969) 30 “For Crosby”: Virginia Woolf, …
  • HOUSE_OVERSIGHT_018257
    … not just making a technical decision,” the programmer and investor Paul Graham has written. “You're also making a social decision, and …
  • HOUSE_OVERSIGHT_018254
    … revolutionary times. To follow the logic of the French philosopher Paul Virilio, for a moment: The train produced the train accident. …
  • HOUSE_OVERSIGHT_018251
    … 2006, Pages 175-308 12 A larger hunger: Brandon Fuller and Paul Romer “Urbanization as Opportunity,” Marron Institute Working Paper No. 1, …
  • HOUSE_OVERSIGHT_018043
    … Roberts’ lawyers — Edwards and University of Utah law professor Paul Cassell — to be disbarred. The lawyers sued Dershowitz for …
  • HOUSE_OVERSIGHT_018024
    … a Ponzi scheme. But the other lawyer in this case, Paul Cassell, is a former federal judge and a law professor. …
  • HOUSE_OVERSIGHT_018023
    … charges under the deal. Last December, lawyers Bradley Edwards and Paul Cassellfiled suit against the U.S. government, arguing that the plea …
  • HOUSE_OVERSIGHT_018002
    … (Epstein is still close to his two other long-term girlfriends, Paula Heil Fisher, a former associate of his at the brokerage …
  • HOUSE_OVERSIGHT_017971
    … in the Crime Victims’ lawsuit, University of Utah law professor Paul Cassell, sued Dershowitz for defamation and Dershowitz countersued in 2015. …
  • HOUSE_OVERSIGHT_017957
    … to conclude based upon Dershowitz’s statements that Bradley Edwards and Paul Cassell had determined that the allegations against Alan Dershowitz made …
  • HOUSE_OVERSIGHT_017938
    … 2014, Plaintiff's counsel in the CVRA proceeding (Brad Edwards and Paul Cassell) filed a Motion Pursuant to Rule 21 for Joinder …
  • HOUSE_OVERSIGHT_017924
    … of personal President Bill Clinton and the late Pope John Paul II and jurisdiction over ITRO depends on its contacts with …
  • HOUSE_OVERSIGHT_017912
    … A motion for reconsideration is appropriate Sincoff, Noah H. Kashlefsky, Paul S. Edelman, Robert where a court overlooks controlling decisions or …
  • HOUSE_OVERSIGHT_017844
    … York City, Wilmer Parker, III, G. Sincoff, Noah H. Kushlefsky, Paul S. Gillen Parker and Withers LLC, Atlanta, Edelman, Robert James …
  • HOUSE_OVERSIGHT_017822
    … Roberts’ lawyers — Edwards and University of Utah law professor Paul Cassell — to be disbarred. The lawyers sued Dershowitz for …
  • HOUSE_OVERSIGHT_017808
    … in the Crime Victims’ lawsuit, University of Utah law professor Paul Cassell, sued Dershowitz for defamation and Dershowitz countersued in 2015. …
  • HOUSE_OVERSIGHT_017774
    … (Epstein is still close to his two other long-term girlfriends, Paula Heil Fisher, a former associate of his at the brokerage …
  • HOUSE_OVERSIGHT_017765
    … notes 277-308 and accompanying text. 34118 U.S.C.A. 3771(d)(2). 342 See Paul G. Cassell & Robert F. Hoyt, The Tale of Victims' …
  • HOUSE_OVERSIGHT_017755
    … victims be able to attend trial); Douglas E. Beloof & Paul G. Cassell, The Victim's Right To Attend the Trial: The …
  • HOUSE_OVERSIGHT_017750
    … Before the U.S. Sentencing Comm'n (Feb. 15, 2005) (statement of Paul G. Cassell, United States Judge for the District of Utah), …
  • HOUSE_OVERSIGHT_017749
    … 251 E-mail from Keli Luther, Arizona Voice for Victims, to Paul G. Cassell (June 20, 2005) (on file with author). 252 …
  • HOUSE_OVERSIGHT_017748
    … Twist, supra note 15, at 625-67 (discussing victim impact statements); Paul G. Cassell, Balancing the Scales of Justice: The Case for …
  • HOUSE_OVERSIGHT_017725
    … supra note 45 and accompanying text. 107 See Letter from Paul G. Cassell to Advisory Comm. (on file with author). 108 …
  • HOUSE_OVERSIGHT_017721
    … 46, at 519-20 (recounting problems). © Laurence H. Tribe & Paul G. Cassell, Embed the Rights of Victims in the Constitution, …
  • HOUSE_OVERSIGHT_017720
    … them a spot in the West publication. 46 See generally Paul G. Cassell, Barbarians at the Gates? A Reply to the …
  • HOUSE_OVERSIGHT_017717
    … concurring) (internal quotation marks omitted). See generally Douglas Evan Beloof, Paul G. Cassell & Steve J. Twist, Victims in Criminal Procedure …
  • HOUSE_OVERSIGHT_017715
    … Reporter 2005 B.Y.ULL. Rev. 835 * Length: 36451 words Author: Paul G. Cassell* * Professor of Law for the S.J. Quinney …
  • HOUSE_OVERSIGHT_017698
    … Oklahoma for Victims, N.Y. Times, Jan. 30, 1997, at Al4; Paul G. Cassell & Robert F. Hoyt, The Tale of Victims' …
  • HOUSE_OVERSIGHT_017686
    … Amendments, supra note 4, at 894-96; see also Testimony of Paul G. Cassell to the U.S. Sentencing Comm'n (Feb. 15, 2005), …
  • HOUSE_OVERSIGHT_017677
    … result, such subpoenas will only rarely be proper. See generally Paul G. Cassell, Treating Crime Victims Fairly: Integrating Victims into the …
  • HOUSE_OVERSIGHT_017664
    … (8th Cir. 1996). 29 See generally Douglas E. Beloof & Paul G. Cassell, The Victim's Right to Attend the Trial: The …
  • HOUSE_OVERSIGHT_017642
    … widely available, I have posted the report on my website -hitp./www.law.utah.edu/paul-cassell. 6 CVRA Subcommittee Memo, supra note 66, at 2. DAVID …
  • HOUSE_OVERSIGHT_017640
    … *? But on April 27, 28 Laurence H. Tribe & Paul G. Cassell, Embed the Rights of Victims in the Constitution, …
  • HOUSE_OVERSIGHT_017638
    … J., concurring) (internal quotations omitted). See generally Douglas E. Beloof, Paul G. Cassell & Steven J. Twist, Victims in Criminal Procedure …
  • HOUSE_OVERSIGHT_017637
    … Rights, the CVRA, and Amendments to the Rules 4 See Paul G. Cassell, Recognizing Victims in the Federal Rules of Criminal …
  • HOUSE_OVERSIGHT_017636
    … 2007 Utah L. Rev. 861 * Length: 59852 words Author: Paul G. Cassell* * Professor of Law, S.J. Quinney College of …
  • HOUSE_OVERSIGHT_017613
    … Cir. 2008). Other aspects of the case are discussed in Paul G. Cassell & Steven Joffee, The Crime Victims' Expanding Role …
  • HOUSE_OVERSIGHT_017610
    … each of these three issues in turn. 41 See, e.g., Paul Harris, Prince Andrew's Link to Sex Offender Jeffrey Epstein Taints …
  • HOUSE_OVERSIGHT_017607
    … one state constitutional amendment is intended to operate, see generally Paul G. Cassell, Balancing the Scales of Justice: The Case for …
  • HOUSE_OVERSIGHT_017606
    … §3771()(1). 5 Id. § 3771(d)(3). © See Douglas E. Beloof, Paul G. Cassell & Steven J. Twist, Victims in Criminal Procedure …
  • HOUSE_OVERSIGHT_017604
    … Crim. L. & Criminology 59 * Length: 23898 words Author: PAUL G. CASSELL*, NATHANAEL J. MITCHELL** and BRADLEY J. EDWARDS*** * …
  • HOUSE_OVERSIGHT_017572
    … FORATV HARPERVISION DOTSUB KEN HERTZ MAGGIE XIAO (CHINA) ADAM BLY PAUL SOULELLIS INTERNATIONAL DATA GROUP INSTITUTE FOR INTERNATIONAL RESEARCH FLIPBOARD CHAPPELLET …
  • HOUSE_OVERSIGHT_017571
    … and John Halloran of John Halloran Associates. ‘many of you, Paul Kandarian, a magazine writer friend been paired, attached again below. …
  • HOUSE_OVERSIGHT_017564
    … brought renowned artists, policymakers, companies included American Ballet Theatre, the Paul ‘with numerous companies including the Kirov Ballet arts administrators as …
  • HOUSE_OVERSIGHT_017559
    … to the National Institutes of Foundation International Award, the 2001 Paul Ehrlich and Health campus where he developed Expressed Sequence Tags …
  • HOUSE_OVERSIGHT_017550
    … the last century. he became fascinated with the work of Paul Rand and Muriel In.1999, he was named one of the …
  • HOUSE_OVERSIGHT_017546
    … education system and many other subjects. Legendary singer and songwriter Paul McCartney, Colombian —_ content and design. As the founding Chairman …
  • HOUSE_OVERSIGHT_017545
    … Times, Los Angeles Times and Wall Street Journal Dupri, DJ Paul, and Scott Storch, among others, who have ‘Communication Technology (ICT), …
  • HOUSE_OVERSIGHT_017541
    … Child’. He composed the score to John Mayer, Christina Aguilera, Paul Simon, Carlos Santana, In July of 2011 Hancock was designated …
  • HOUSE_OVERSIGHT_017532
    … their personal spin on Conan O'Brian, National Public Radio's St. Paul Sunday, based School for Strings, under Pamela Devenport. traditional and …
  • HOUSE_OVERSIGHT_017524
    … Da Karin Hebenboges, Executive VPC CMO, Coronado Biowienet ‘MS Rilderinden Paul Sebi, Manging Director & Operating Parner, TPG Biotech HOUSE_OVERSIGHT_017524
  • HOUSE_OVERSIGHT_017467
    … me a question: “What do you think of Justice John Paul Stevens?” I responded that I thought he was one of …
  • HOUSE_OVERSIGHT_017453
    … with me to the synagogue and denounce anti-Semitism as Pope Paul had done when he appeared at the Rome Synagogue and …
  • HOUSE_OVERSIGHT_017418
    … such distinguished lawyers as Thurgood Marshall, Arthur Goldberg, Ferdinand Pecora, Paul O’ Dwyer, Louis Boudin, and William Hastie. During its early …
  • HOUSE_OVERSIGHT_017408
    … such luminaries as Archibald Cox, Erwin Griswold, Abram Chayes and Paul Freund. I decided that these discussions should be shared with …
  • HOUSE_OVERSIGHT_017380
    … to integrate African American graduates of Groten, Fieldston, and St. Paul’s into Harvard than it would be to integrate inner city …
  • HOUSE_OVERSIGHT_017367
    … 20" Century was committed by President Clinton’s lawyer in the Paula Jones case, Robert Bennett. Bennett allowed his client to be …
  • HOUSE_OVERSIGHT_017362
    … the case would be dismissed, regardless of whether or not Paula Jones agreed. If the lawsuit were dismissed, there would be …
  • HOUSE_OVERSIGHT_017361
    … decision refusing to postpone the lawsuit brought against him by Paula Jones, he had no choice but to submit to a …
  • HOUSE_OVERSIGHT_017358
    … On January 17, 1997, President Clinton was deposed in the Paula Jones lawsuit and was asked questions about his relationship with …
  • HOUSE_OVERSIGHT_017357
    … where the focus is not on the [P]resident but on Paula Jones.” And in that way, he can, in effect, settle …
  • HOUSE_OVERSIGHT_017356
    … the President would talk about it. His lawyer in the Paula Jones case, Robert Bennett, was on notice that the president …
  • HOUSE_OVERSIGHT_017333
    … the press, but the false accuser’s name was withheld. St. Paul, Minnesota, police determined that within one week, two reported rapes …
  • HOUSE_OVERSIGHT_017245
    … in challenging the constitutionality of capital punishment * Justice John Paul Stevens % Tison brothers, Miller, Borokova, Sybers, Murphy, Claus Von …
  • HOUSE_OVERSIGHT_017235
    … on “outsiders.” He claims that I intruded myself into the DePaul review process, neglecting to mention that I was specifically asked …
  • HOUSE_OVERSIGHT_017234
    … been fired from several universities, to obtain tenure at De Paul University. Finkelstein had never published any scholarship. Moreover, he had …
  • HOUSE_OVERSIGHT_017226
    … dated October 18, 1942, from the diary of SS doctor Johann-Paul Kremer written during the three months he spent at Auschwitz …
  • HOUSE_OVERSIGHT_017148
    … had been previously been turned down by the firm of Paul Weiss, Rifkin, Wharton and Garrison. He said, “Paul Weiss turned …
  • HOUSE_OVERSIGHT_017129
    … of them discriminated against me on account of my religion. Paul, Weiss, Rifkin, Wharton, and Garrison offered me a summer job …
  • HOUSE_OVERSIGHT_017089
    … the Human Rights Agenda Wc14667 Pages 27 ' Justice John Paul Stevens 2 HOUSE_OVERSIGHT_017089
  • HOUSE_OVERSIGHT_017086
    … Chief Financial Officer, Alcoa Alcoa Inc. USA Global Rolled Products Paul A. Laudicina Chairman of the Board and Managing A.T. Kearney …
  • HOUSE_OVERSIGHT_017085
    … Policy Rolf Kuntz Editorialist and Special O Estado de Sao Paulo Brazil Correspondent Vera Kurochkina Deputy Chief Executive Officer and RUSAL …
  • HOUSE_OVERSIGHT_017083
    … Governance Initiative | New America Foundation USA Tarun Khanna Jorge Paulo Lemann Professor Harvard Business School USA World Economic Forum Annual …
  • HOUSE_OVERSIGHT_017082
    … E. A. Juffali and Brothers Saudi Arabia and Managing Partner Paul Kagame President of Rwanda Banri Kaieda Minister of Economic and …
  • HOUSE_OVERSIGHT_017081
    … Africa Shirley Ann Jackson President Rensselaer Polytechnic USA Institute (RPI) Paul E. Jacobs Chairman and Chief Executive Officer Qualcomm Inc. USA …
  • HOUSE_OVERSIGHT_017080
    … (PSI) Joseph M. Hogan Chief Executive Officer ABB Ltd Switzerland Paul R. Hogan Chairman and Founder Home Instead Inc USA Tom …
  • HOUSE_OVERSIGHT_017079
    … Plc Netherlands Hugh S. Herman Chairman Investec Ltd South Africa Paul Hermelin Vice-Chairman and Chief Executive Capgemini France Officer Adolfo Hernandez …
  • HOUSE_OVERSIGHT_017078
    … Harish Hande Managing Director SELCO Solar Light (P) India Limited Paul Hanratty Chief Executive Officer, Long Term Old Mutual Life Assurance …
  • HOUSE_OVERSIGHT_017075
    … Group Germany Timothy F. Geithner US Secretary of the Treasury Paul Geitner Business Editor International Herald Tribune — United Kingdom World …
  • HOUSE_OVERSIGHT_017074
    … Management Inc. Sam Fleming Economics Editor The Times United Kingdom Paul Fletcher Senior Partner Actis LLP United Kingdom Richard Fletcher City …
  • HOUSE_OVERSIGHT_017073
    … Ergen Chairman, President and Chief DISH Network USA Executive Officer Paula Escobar Editor-in-Chief, Magazines Empresa Periodistica El Chile Mercurio SAP Patricia …
  • HOUSE_OVERSIGHT_017072
    … Health System Marcelo Luis Ebrard Mayor of Mexico City Casaubon Paul N. Eckley Senior Vice-President, Investments State Farm Insurance USA Companies …
  • HOUSE_OVERSIGHT_017068
    … The Harvard University USA Berkman Center for Internet & Society Paulo Coelho Author Sant Jordi Asociados Spain Andrew L. Cohen Managing …
  • HOUSE_OVERSIGHT_017067
    … and Publisher Maeil Business Newspaper Republic of Korea and TV Jean-Paul Chapel Editor France 2 France Nigel Chapman Chief Executive Officer …
  • HOUSE_OVERSIGHT_017066
    … Jerry Buhlmann Chief Executive Officer Aegis Group Plc United Kingdom Paul Bulcke Chief Executive Officer Nestlé SA Switzerland Marcos Bulgheroni Executive …
  • HOUSE_OVERSIGHT_017060
    … RU-COM Russian Federation Aclan Acar Chairman Dogus Otomotiv AS Turkey Paul Achleitner Member of the Board of Management Allianz SE Germany …
  • HOUSE_OVERSIGHT_017051
    … Kennedy @ Margaret Thatcher vA > — Margaret Thatcher @ Paul Newman 7 we 2 12+ — PauiNewman © 1925 top …
  • HOUSE_OVERSIGHT_017035
    … changed to “W. Hegemann” and “Fr. Von Hellwald” Art 4) “Paul Stefan” was deleted. Philosophy/Religion 1) “Max Nitsche” was deleted. The …
  • HOUSE_OVERSIGHT_016963
    … the algorithmic over expert judgment.” © William M. Grove & Paul E. Meehl, “Comparative efficiency of informal (subjective, impressionistic) and formal …
  • HOUSE_OVERSIGHT_016949
    Visible / Invisible The artist Paul Klee often talked about art as “making the invisible visible.” …
  • HOUSE_OVERSIGHT_016677
    … PM —– From: Jim Bowser/PalmBeach To: Peter B Elwell/PalmBeach@PalmBeach Ce: Paul Brazil/PalmBeach@PalmBeach, Eric Brown/PalmBeach@PalmBeach, Douglas Terry/PalmBeach@PalmBeach Date: 01/09/2009 10:36 AM Subject: …
  • HOUSE_OVERSIGHT_016675
    … S OCEAN BLVD 563 421,182 $1,763.28 RES 0.24% 0.30% 49 DESMARAIS,PAUL 1600 S OCEAN BLVD 562 420,549 $1,860.38 GEN 0.24% 0.32% …
  • HOUSE_OVERSIGHT_016667
    … TOWN OF PALM BEACH cc cath why a MEMORANDUM TO: Paul Brazil, Director of Public Works FROM: James M. Bowser, Town …
  • HOUSE_OVERSIGHT_016636
    … City of West Palm Beach Jane Struder, Finance Director H. Paul Brazil, Director of Public Works John Page, Director of Planning, …
  • HOUSE_OVERSIGHT_016545
    … in a lyncher being convicted of a criminal offense" (citing Paula J. Giddings, Ida: A Sword Among Lions 473-74 (2008))). Data …
  • HOUSE_OVERSIGHT_016542
    … on. political corruption); Routledge Handbook of Political Corruption: A Handbook (Paul M. Heywood ed., 2015) (focusing on international and comparative corruption …
  • HOUSE_OVERSIGHT_016541
    … Priority Goal"). 46 See Lichtblau, supra note 141. 147 See Paul G. Cassell & James R. Marsh, Full Restitution for Child …
  • HOUSE_OVERSIGHT_016539
    … and purposes of the criminal justice system); Vicki Waye & Paul Marcus, Australia and the United States: Two Common Criminal Justice …
  • HOUSE_OVERSIGHT_016534
    … (2010). For a vigorous argument against the OLC position, see Paul Cassell et al., Crime Victims' Rights During Criminal Investigations? Applying …
  • HOUSE_OVERSIGHT_016518
    … criminal justice infrastructure, was much thinner. *8 4 See, e.g., Paul D. Butler, Poor People Lose: Gideon and the Critique of …
  • HOUSE_OVERSIGHT_016517
    … Prison Uprising of 1971 and Its Legacy (2016). 4! Cf. Paul Cassell, Who Prosecutes the Police? Perceptions of Bias in Police …
  • HOUSE_OVERSIGHT_016514
    … Prosecuting Police Misconduct, 2000 Wis. L. Rev. 789, 806-11 (2000); Paul J. Watford, Screws v. United States and the Birth of …
  • HOUSE_OVERSIGHT_016449
    … out that a complaint filed against him by victims’ lawyer Paul Cassell was dismissed by the Justice Department. HOUSE_OVERSIGHT_016449
  • HOUSE_OVERSIGHT_016380
    … the algorithmic over expert judgment.” © William M. Grove & Paul E. Meehl, “Comparative efficiency of informal (subjective, impressionistic) and formal …
  • HOUSE_OVERSIGHT_016366
    Visible / Invisible The artist Paul Klee often talked about art as “making the invisible visible.” …
  • HOUSE_OVERSIGHT_016198
    Case 1:19-cv-03377-LAP Document 36-4 Filed 07/03/19 Page 2 of 6 PAUL G. CASSELL Ronald N. Boyce Presidential Professor of Criminal Law …
  • HOUSE_OVERSIGHT_016078
    … The Quest to Think the Unthinkable. Robinson Publishing, 2003. Cohen, Paul J. Set Theory and the Continuum Hypothesis. Dover Publications Inc., …
  • HOUSE_OVERSIGHT_016076
    … Jape: Uncovering the Hidden World of Jokes. Penguin, 2007. Cobley, Paul. The Communication Theory Reader. 1st ed. Routledge, 1996. Dawkins, Richard. …
  • HOUSE_OVERSIGHT_016069
    … Unknown, Wikimedia, PD IAF Rule 164 IAF rules excerpt PM Paul Hermans, Wikimedia, CC3 Amazon Listing for PM Amazon excerpt (not …
  • HOUSE_OVERSIGHT_015671
    … from prestigious corporate, financial, and legal firms including Goldman Sachs, Paul Weiss Rifkind, Schulte Roth, Donna Karan, Warner Music and Federated …
  • HOUSE_OVERSIGHT_015668
    … COUNTY, FLORIDA CASE NO.: CACE 15-000072 BRADLEY J. EDWARDS and PAUL G. CASSELL, Plaintiffs, vs. ALAN M. DERSHOWITZ, Defendant. re ee …
  • HOUSE_OVERSIGHT_015660
    … CIVIL DIVISION BRADLEY J. EDWARDS, and CASE NO. CACE 15-000072 PAUL G. CASSELL, Plaintiffs, Vv. ALAN DERSHOWITZ, Defendant. eect ge re …
  • HOUSE_OVERSIGHT_015657
    … CIVIL DIVISION BRADLEY J. EDWARDS, and CASE NO. CACE 15-000072 PAUL G. CASSELL, Plaintiffs, Vv. ALAN DERSHOWITZ. Defendant. ee ee ORDER …
  • HOUSE_OVERSIGHT_015650
    … CIVIL DIVISION BRADLEY J. EDWARDS, and CASE NO. CACE 15-000072 PAUL G. CASSELL, Plaintiffs, v. ALAN DERSHOWITZ, Defendant. i RESPONSE TO …
  • HOUSE_OVERSIGHT_015640
    … Attorneys for Alan M.Dershowitz, Esquire Phone: (801)-366-0100/Fax: (801)-366-0101 Attorneys for Paul Cassell Bradley J. Edwards, Esquire staff.efile@pathtojustice.com; brad@pathtojustice.com; maria@pathtojustice.com Farmer Jaffe …
  • HOUSE_OVERSIGHT_015638
    … 33301 Telephone (954) 524-2820 Facsimile (954) 524-2822 E-mail: brad@pathtojustice.com And Paul G. Cassell Pro Hac Vice Motion Pending S.J. Quinney College …
  • HOUSE_OVERSIGHT_015637
    … mountain evidence strongly support Ms. Giuffre’s allegations. See Deposition of Paul Cassell (Oct. 16, 2015) at 61-117 (Exhibit 3); see also …
  • HOUSE_OVERSIGHT_015621
    … COUNTY, FLORIDA CASE NO.: CACE 15-000072 BRADLEY J. EDWARDS and PAUL G. CASSELL, Plaintiffs, vs. ALAN M. DERSHOWITZ, Defendant. ee | …
  • HOUSE_OVERSIGHT_015619
    … CIVIL DIVISION BRADLEY J. EDWARDS, and CASE NO. CACE 15-000072 PAUL G. CASSELL, Plaintiffs, M ALAN DERSHOWITZ, Defendant. yee 1 8 …
  • HOUSE_OVERSIGHT_015616
    … CIVIL DIVISION BRADLEY J. EDWARDS, and CASE NO. CACE 15-000072 PAUL G. CASSELL, Plaintiffs, Vv. ALAN DERSHOWITZ, Defendant. ee eee ORDER …
  • HOUSE_OVERSIGHT_015609
    … directly related to Defendant’s defamatory statements about Brad Edwards and Paul Cassell. The Court should limit Defendant’s ability to engage in …
  • HOUSE_OVERSIGHT_015601
    … is a defamation case filed by a former federal judge, Paul Cassell, and his colleague Brad Edwards, who represent various sexual …
  • HOUSE_OVERSIGHT_015599
    … CIVIL DIVISION BRADLEY J. EDWARDS, and CASE NO. CACE 15-000072 PAUL G. CASSELL, Plaintiffs, v. ALAN DERSHOWITZ, Defendant. / MOTION TO …
  • HOUSE_OVERSIGHT_015597
    … Andrews Avenue, Suite 2, Ft. Lauderdale, FL 33301; cassellp@law.utah.edu, to: Paul G. Cassell, Esq.,; smccawley@bsfllp.com, sperkins@bsfllp.com, to: Sigrid S. McCawley, Esq., …
  • HOUSE_OVERSIGHT_015591
    … against him when her lawyers, Bradley J. Edwards (“Edwards”) and Paul G. Cassell (“Cassell”), filed certain now-stricken allegations in the action …
  • HOUSE_OVERSIGHT_015590
    … COUNTY, FLORIDA CASE NO.: CACE 15-000072 BRADLEY J. EDWARDS and PAUL G. CASSELL, Plaintiffs/Counterclaim Defendants, vs. ALAN M. DERSHOWITZ, Defendant/Counterclaim Plaintiff. …
  • HOUSE_OVERSIGHT_015588
    Paul Cassell 5 a SSS SSS SSS SSS SSS SATS SSS …
  • HOUSE_OVERSIGHT_015582
    From: Paul Cassell Sent: Saturday, January 24, 2015 1:25 PM To: Michael …
  • HOUSE_OVERSIGHT_015580
    … Paine <djpaine@aol.com> Sent: Friday, January 23, 2015 2:31 PM To: Paul Cassell Ce: brad@pathtojustice.com; JWI@SearcyLaw.com; matt.williams@itn.co.uk; kate.brannelly@itn.co.uk Subject: Re: Jeffrey Epstein …
  • HOUSE_OVERSIGHT_015549
    … CASE NO. CACE 15-000072 4 5 BRADLEY J. EDWARDS and PAUL G. CASSELL, 6 Plaintiffs/Counterclaim Defendants, Wi vs. 8 9 ALAN …
  • HOUSE_OVERSIGHT_015546
    PAUL G. CASSELL staTeor [/7Ait ) SALT COUNTY OF uae i: …
  • HOUSE_OVERSIGHT_015544
    … COUNTY, FLORIDA CASE NO.: CACE 15-000072 BRADLEY J. EDWARDS and PAUL G. CASSELL, Plaintiff(s), vs. ALAN M. DERSHOWITZ, Defendant(s). a NOTICE …
  • HOUSE_OVERSIGHT_015481
    … outer curt stager is an ecologist and climate scientist at Paul layers rebounding against the dense inner core, and a Smith’s …
  • HOUSE_OVERSIGHT_015458
    … next in line would be the Speaker of the House, Paul Ryan. Steve Bannon described him as_ “a limp-dick motherfucker who …
  • HOUSE_OVERSIGHT_015436
    … cover of that LA. 7Zimes Sunday Calendar section blared out: Paul Krassner– “1 Was a Communist for the FB!.” \n the …
  • HOUSE_OVERSIGHT_015435
    … dye their skins black. *All Jews. Look out, Abbie, Jerry, Paul and Mark!” (Shades of Wernher von Braun.) It was approved …
  • HOUSE_OVERSIGHT_015425
    one but well-known satirist Paul Krassner—who may have coined the phrase ‘Twinkie defense'—played up that …
  • HOUSE_OVERSIGHT_015394
    … with him.’ And said, ‘Well, who is it?’ He said, ‘Paul Krassner.’ And | just fell out, and said, ‘Are you …
  • HOUSE_OVERSIGHT_015385
    … more like a microwave.” Robin said, “Harlan is a tall Paul Williams, a white Paul Simon.” | pointed out that “Harlan …
  • HOUSE_OVERSIGHT_015373
    … –walked out of their office totally nude. “Sorry to interrupt, Paul,” said Sheila, “but it's HOUSE_OVERSIGHT_015373
  • HOUSE_OVERSIGHT_015368
    … actually channeling Lenny, until the day that he said, “C’mon, Paul, HOUSE_OVERSIGHT_015368
  • HOUSE_OVERSIGHT_015363
    Lenny had been reading a study of anti-Semitism by Jean-Paul Sartre. Now, on stage, giving credit to Thomas Merton's poem …
  • HOUSE_OVERSIGHT_015328
    … protect the freedom their own country is denying them. Sincerely, Paul Krassner Postscript: | sent a copy of the letter to …
  • HOUSE_OVERSIGHT_015311
    … Peter Bergman, of the Firesign Theatre. Scott thought that Peter, Paul! and Harry would be a great title for an evening …
  • HOUSE_OVERSIGHT_015284
    … to have a rather callous disregard for the Constitution,” said Paul Wright, publisher of Seattle-based Prison Legal News, with a circulation …
  • HOUSE_OVERSIGHT_015266
    … to Icke. This is what he heard: “Hi, this is Paul, calling myself. I' ve already left a message on [my …
  • HOUSE_OVERSIGHT_015206
    outrageous sex scene.’ Paul actually uses Marilena’ s pussy as an echo chamber!” Now, …
  • HOUSE_OVERSIGHT_015205
    … Trek’ s blessing, “Live long and prosper” —is conducted by Paul Ramana Das and Marilena Silbey. “Interspecies intercourse,” he muses. “This …
  • HOUSE_OVERSIGHT_015159
    … began. Way to go. WILLOW: | heard that in St. Paul, even a mime got a permit to speak. And the …
  • HOUSE_OVERSIGHT_015142
    … occurred while | was watching television—Larry King Live—and, once again, Paula Jones was the guest. At one point she said, “l’ …
  • HOUSE_OVERSIGHT_015137
    … | had never seen it before, but she was interviewing Paula Jones and, as my mother used to say, curiosity got …
  • HOUSE_OVERSIGHT_015054
    … television. There is a program all about Divorce Court. Dr. Paul Popenoe is the master of ceremonies. He HOUSE_OVERSIGHT_015054
  • HOUSE_OVERSIGHT_015050
    … out to be theologically correct in 1984, when Pope John Paul II warned that the rhythm method of birth control can …
  • HOUSE_OVERSIGHT_015036
    Paul Krassner published 7he Realist (1958-2001), but when People magazine labeled …
  • HOUSE_OVERSIGHT_015035
    … Lee, quoted in Satiristas! x OK OR Other Books by Paul Krassner How a Satirical Editor Became a Yippie Conspirator in …
  • HOUSE_OVERSIGHT_015034
    … in terms of inflammatory imagery was The Realist, created by Paul Krassner…” –Time “Paul taught me that extreme stylistic accuracy could …
  • HOUSE_OVERSIGHT_015033
    What They Say About the Author “Paul’s own writing, in particular, seemed daring and adventurous to me; …
  • HOUSE_OVERSIGHT_015032
    60 Years of Investigative Satire: The Best of Paul Krassner Introduction by Andy Borowitz Blurb by Art Spiegelman | …
  • HOUSE_OVERSIGHT_015028
    … all crime victims are high, said attorneys Bradley Edwards and Paul Cassell, who filed the rare lawsuit against the federal government …
  • HOUSE_OVERSIGHT_014969
    … aid, rehabilitation and livelihood support. @iamsrk = = A = Paul Cantelon yy Musician and composer pei? Paul Cantelon is a …
  • HOUSE_OVERSIGHT_014960
    … perceive, reason, feel, dream and communicate. neuro.org.ar @mariuchu Me Anika Paulson f Student, musician A Anika Paulson’s love for music permeates …
  • HOUSE_OVERSIGHT_014844
    … It is my pleasure to report that Bradley J. Edwards, Paul G. Cassell, and Alan M. Dershowitz have resolved their disputes …
  • HOUSE_OVERSIGHT_014824
    … the letter the woman's lawyers sent to Buckingham Palace, attorneys Paul Cassell and Bradley Edwards asked to interview Prince Andrew "under …
  • HOUSE_OVERSIGHT_014801
    … in Limine via ECF on the following: Sigrid S. McCawley Paul G. Cassell Meredith Schultz 383 S. University Street BOIEs, SCHILLER …
  • HOUSE_OVERSIGHT_014796
    … In Limine via ECF on the following: Sigrid S. McCawley Paul G. Cassell Meredith Schultz 383 S. University Street BOIES, SCHILLER …
  • HOUSE_OVERSIGHT_014783
    … Arko Sen, Claudio Irigoyen, Jane Brauer, Kamal Sharma, Mark Capleton, Paul Ciana, CMT and Ralf Preusser, CFA, hereby certify that the …
  • HOUSE_OVERSIGHT_014777
    Best Technical Trades Paul Ciana, CMT MLPF&S paul.ciana@baml.com Technical trends for Trump + — …
  • HOUSE_OVERSIGHT_014772
    … the incoming administration, and Dodd-Frank is a major potential target. Paul Atkins, a former SEC commissioner under George W Bush, has …
  • HOUSE_OVERSIGHT_014725
    … tax reform and support for tax reform are very strong. Paul Ryan said on January 26 after the Republican retreat in …
  • HOUSE_OVERSIGHT_014674
    … ‘Accelerator to Drive Innovation and Support UK Economic Growth Sir Paul McCartney North East Lincolnshire Council pete i North East Lincolnshire …
  • HOUSE_OVERSIGHT_014666
    … attacks and seeing a psychiatrist and was on anti-depressants. Sir Paul McCartney _ ’ Virginia was beginning to put her Epstein …
  • HOUSE_OVERSIGHT_014658
    … Summary Judgment via ECF on the following: Sigrid S. McCawley Paul G. Cassell Meredith Schultz 383 S. University Street BOIES, SCHILLER …
  • HOUSE_OVERSIGHT_014621
    … London San Francisco West Palm Beach Dallas Los Angeles Sao Paulo Zurich Dubai Madrid Seattle Dublin Miami Shanghai www.gs.com HOUSE_OVERSIGHT_014621
  • HOUSE_OVERSIGHT_014620
    The co-authors give special thanks to: Paul Swartz Vice President Amneh AlQasimi Associate Michael Murdoch Associate David …
  • HOUSE_OVERSIGHT_014616
    … agencies referenced are Moody's, Standard & Poor's 106. Elroy Dimson, Paul Marsh and Mike Staunton, Tumph of the and Fitch Ratings …
  • HOUSE_OVERSIGHT_014614
    … Journal, You So‘ Moment,” Wall Street Political Science, 1934. 26. Paul Krugman, The Age of December 5, 2016. Journal, December 10, …
  • HOUSE_OVERSIGHT_014546
    … growth have been followed by periods first published in 1990, Paul Krugman, Nobel of high productivity growth since 1889, as seen …
  • HOUSE_OVERSIGHT_014488
    … 0.72 Autos == NN Travel&Leis. ——— 0.91 4 07 . pauls | elecoms za Insurance — 09 Wi 0.68 Retail —— …
  • HOUSE_OVERSIGHT_014424
    … a shallow dip — tells us two things about the Paul Ciana, CMT USD/JPY. First, the view that a GOP sweep …
  • HOUSE_OVERSIGHT_014347
    … other bank management teams speaking at this year’s conference, CFO Paul Burdiss noted that small businesses have been reluctant to invest …
  • HOUSE_OVERSIGHT_014117
    … / bid JACK SCAROLA / /mep cc: Bradley Edwards, Esq. Paul G. Cassell, Esq. TBS Ba HOUSE_OVERSIGHT_014117
  • HOUSE_OVERSIGHT_014108
    … any and all documents tending to support your assertion that Paul G. Cassell: a. has a reputation of being sleazy; b. …
  • HOUSE_OVERSIGHT_014099
    … (“Document Requests”) propounded by Plaintiffs/Counterclaim Defendants Bradley J. Edwards and Paul G. Cassell (“Plaintiffs”). PRELIMINARY STATEMENT These responses and objections reflect …
  • HOUSE_OVERSIGHT_014093
    … disproving allegations made by Jane Doe No. 3: Her lawyers Paul Cassell, a former Federal judge and Brad Edwards, deliberately and …
  • HOUSE_OVERSIGHT_014092
    … (among other things) representing crime victims, Bradley J. Edwards and Paul G. Cassell. The case involved an attempt to rescind a …
  • HOUSE_OVERSIGHT_014091
    … COUNTY, FLORIDA CASE NO.: CACE 15-000072 BRADLEY J. EDWARDS and PAUL G. CASSELL, Plaintiff(s), vs. ALAN M. DERSHOWITZ, Defendant(s). yf PLAINTIFFS’ …
  • HOUSE_OVERSIGHT_014088
    … 33301 Telephone (954) 524-2820 Facsimile (954) 524-2822 E-mail: brad@pathtojustice.com And Paul G. Cassell Pro Hac Vice S.J. Quinney College of Law …
  • HOUSE_OVERSIGHT_014052
    … Cir. 2008). Other aspects of the case are discussed in Paul G. Cassell & Steven Joffee, The Crime Victims’ Expanding Role …
  • HOUSE_OVERSIGHT_014047
    … in the case to dispute the allegations. 4! See, e.g., Paul Harris, Prince Andrew’s Link to Sex Offender Jeffrey Epstein Taints …
  • HOUSE_OVERSIGHT_014044
    … pros and cons of the amendment as originally introduced, compare Paul G. Cassell, Barbarians at the Gates? A Reply to the …
  • HOUSE_OVERSIGHT_014043
    … one state constitutional amendment is intended to operate, see generally Paul G. Cassell, Balancing the Scales of Justice: The Case for …
  • HOUSE_OVERSIGHT_014042
    … from the police investigation through ® See DouGLas E. BELOor, PAUL G. CASSELL & STEVEN J. Twist, VICTIMS IN CRIMINAL PROCEDURE …
  • HOUSE_OVERSIGHT_014038
    … THE CRIME VICTIMS’ RIGHTS ACT BEFORE CRIMINAL CHARGES ARE FILED PAUL G. CASSELL* NATHANAEL J. MITCHELL**& BRADLEY J. EDWARDS*** This Article …
  • HOUSE_OVERSIGHT_014037
    … the Crime Victims’ Rights Act Before Criminal Charges Are Filed Paul G. Cassell Nathanael J. Mitchell Bradley J. Edwards Follow this …
  • HOUSE_OVERSIGHT_013985
    … when they grow up because they are looking for ideas. —PAULA POUNDSTONE The miracle is not to walk on water. The …
  • HOUSE_OVERSIGHT_013966
    … as to the novelist who is overcertain of his plot. —PAUL THEROUX, To the Ends of the Earth L this is …
  • HOUSE_OVERSIGHT_013955
    … adornment of the mind and the formation of the judgment. —PAUL FUSSELL, Abroad The simple willingness to improvise is more vital, …
  • HOUSE_OVERSIGHT_013779
    Paulus, M.P., Gass, S.F., Mandell, A.J. (1989): A realistic , minimal …
  • HOUSE_OVERSIGHT_013778
    … (1964) Intrinsic Markoff chains . Trans. Amer. Math. Soc. 112:55-66 Paulus, M.P., Bakshi, V.P., Geyer, M.A. (1998) Isolation rearing affects sequential …
  • HOUSE_OVERSIGHT_013769
    … the PC. Springer- Verlag. Krebs-Thomson, K., Lehmann-Masten, V., Naiem, S., Paulus, M.P., Geyer, M.A. (1998a) Modulation of phencyclidine-induced changes in locomotor …
  • HOUSE_OVERSIGHT_013750
    … potential (cerebeller-basal ganglia?) mechanisms of the thought disorder in schizophrenia (Paulus et al, 1994); does cocaine induce new patterns of behavior …
  • HOUSE_OVERSIGHT_013742
    … behavior have been used to discriminate among stimulant drug effects (Paulus et al, 1990; Paulus and Geyer, 1992). Similar computations involving …
  • HOUSE_OVERSIGHT_013741
    … remaining variation (after the previous partition) called the “KD” partition (Paulus et al, 1991). Partition strategies to capture entropic measures on …
  • HOUSE_OVERSIGHT_013732
    shift from hyperactivity to motor stereotypy (Paulus et al, 1991). Studies that followed demonstrated that “q-moment” distributions …
  • HOUSE_OVERSIGHT_013698
    … (Mandell et al, 1985; Mandell and Selz, 1992; Ehlers, 1995; Paulus et al, 1996; Huber et al, 1999). There are diagnostic …
  • HOUSE_OVERSIGHT_013694
    … behavior also discriminated a population of schizophrenic patients from normals (Paulus et al, 1996). More generally, parameter dependent dynamical coding, built …
  • HOUSE_OVERSIGHT_013670
    … and logical arguments of the contemporary Scottish philosopher, David Hume. Paul Tillich wrote that the wisdom attendant to primary spiritual experience …
  • HOUSE_OVERSIGHT_013626
    … the Charismatic Christian, ex-alcoholic, Southern Methodist politician, George W. Bush. Paul Holmer, Professor of Theology at Yale Divinity School gives thanks …
  • HOUSE_OVERSIGHT_013625
    … claims derived exclusively from biblical quotation. Their particularly favorites were Paul’s letters and some of the later prophets, particularly Jesus-auguring Isaiah. …
  • HOUSE_OVERSIGHT_013624
    … time accompanying themselves on guitars, singing hymns and shouted Corinthian Paulisms to small curious crowds gathered in beach parking lots, city …
  • HOUSE_OVERSIGHT_013623
    Birth. They told me that, paraphrasing Paul in Romans, they had been saved and were living New …
  • HOUSE_OVERSIGHT_013616
    … in- between entropies for new information surprise. Geyer and Martin Paulus found that entheogenic agents such as Ecstasy also increased the …
  • HOUSE_OVERSIGHT_013612
    … coin. Recall from the last chapter that Karen Selz, Martin Paulus and others have shown that various personality types and psychiatric …
  • HOUSE_OVERSIGHT_013610
    … approach to compression and AC, similar to one proposed by Paul Rapp, involves the identification and symbolic representation of repeated blocks …
  • HOUSE_OVERSIGHT_013602
    … flows can come out of a mess of data. Professor Paul Rapp of the University of Pennsylvania has been able to …
  • HOUSE_OVERSIGHT_013593
    … Christ’s undemanding gift of grace as in Romans 4: where Paul observed that all of us fall short of the full …
  • HOUSE_OVERSIGHT_013585
    … ergodic theory of dynamical systems to rat locomotor behavior, M. Paulus, M. Geyer, L. Gold, A. Mandell, Proc. Natl. Acad. Sci. …
  • HOUSE_OVERSIGHT_013582
    … qualitative orbits in a box-partitioned space can be visualized as Paulus and Geyer’s rats exploring a space and Selz’s path sequences …
  • HOUSE_OVERSIGHT_013580
    … these two kinds of entropies. For example, the work of Paulus and Geyer showed that the administration of a very small …
  • HOUSE_OVERSIGHT_013579
    … behavioral manifold. For examples, my students from the past, Martin Paulus and Mark Geyer, now Professors at the Medical School of …
  • HOUSE_OVERSIGHT_013562
    … George Allen, Unwin Ltd., London, 1925 Eros and the Sacred, Paul Avis, SPCK, London, 1989 Mukteshwari, The Way of Muktananda, SYDA …
  • HOUSE_OVERSIGHT_013550
    … the night spent taking down, cleaning and putting up large tarpaulin meeting tents. | was assigned this simple, arduously manual, all …
  • HOUSE_OVERSIGHT_013543
    … “three days journey into the desert” as in Exodus and Paul’s recommended presentation of my body “as a living sacrifice, holy …
  • HOUSE_OVERSIGHT_013520
    … Arubindo and The Mother, Georges van Vrekhem, Paragon House, St. Paul, MN, 1997 Bhagadvad Gita, Sri Aurobindo, Lotus Press, Twin Lakes, …
  • HOUSE_OVERSIGHT_013519
    … Some say it is relevant to the likes of Apostle Paul, Sister Teresa and Joan of Arc. One evening in the …
  • HOUSE_OVERSIGHT_013518
    … and in the right hippocampus, deep in the temporal lobe. Paul MacLean and others since have shown that electrical stimulation of …
  • HOUSE_OVERSIGHT_013516
    … 1940’s and 1950’s, work by National Institutes of Mental Health’s Paul MacLean attributed it to the actions of parts of the …
  • HOUSE_OVERSIGHT_013510
    … Swami Sivananda. He recounted discussions about God with the artists Paul Klee and Max Ernst and the philosophers Rudolph Otto, Paul …
  • HOUSE_OVERSIGHT_013503
    … work. Particular thanks are due their imaginative Vice President, Dr. Paul Gailey, who shared my vision and hope that these somewhat …
  • HOUSE_OVERSIGHT_013363
    … in Jacksonville, Florida with Jay Howell & Associates) and Professor Paul Cassell (a law professor at the University of Utah College …
  • HOUSE_OVERSIGHT_013301
    … inspired a hit television series. Died Nov. 29 of cancer. Paul Walker, 40. A Hollywood actor best-known for appearing in the …
  • HOUSE_OVERSIGHT_013298
    … knighted in 1987. Died Oct. 23 of a heart attack. Paul Reichmann, 83. One of three brothers who built Toronto- based …
  • HOUSE_OVERSIGHT_013297
    Paul Desmarais Sr., 86. The Canadian billionaire, who turned an inherited …
  • HOUSE_OVERSIGHT_013288
    … June 12 in his hometown of Kyotango, in western Japan. Paul Soros, 87. The Hungarian-born founder of Soros Associates, a New …
  • HOUSE_OVERSIGHT_013279
    … based Morgan Stanley Bank. Died Feb. 18 of liver disease. Paul Mcllhenny, 68. He was the fourth generation of his family …
  • HOUSE_OVERSIGHT_013276
    … was then the biggest U.S. municipal bankruptcy. Died Jan. 16. Pauline Phillips, 94. To millions of U.S. newspaper readers, she was …
  • HOUSE_OVERSIGHT_013265
    … Piaget. The Origins of Intelligence in Children. Routledge and Kegan Paul, 1953. Piad5. Jean Piaget. The Construction of Reality in the …
  • HOUSE_OVERSIGHT_013264
    … Computer Science Department, Wash- ington University, 2006. LRN87. John Laird, Paul Rosenbloom, and Alan Newell. Soar: An architecture for general intelligence. …
  • HOUSE_OVERSIGHT_013259
    … International Conf. on, 0, 2002. AGBD*08. Derek Abbott, Julio Gea-Banacloche, Paul C W Davies, Stuart Hameroff, Anton Zeilinger, Jens Eisert, Howard …
  • HOUSE_OVERSIGHT_012906
    … Predrag Janicic, David Hart, Ari Heljakka, Hugo Pinto, Deborah Duong, Paul Prueitt, Glenn Tarbox, Nil Geisweiller and Cassio Pennachin (the co-authors …
  • HOUSE_OVERSIGHT_012888
    … L.M, Gatt, J.M, Kuan, S.A., Dobson- Stone, C. Palmer, D.M., Paul, R.H., Gordon, E. (2009). A polymorphism of the MAOA gene …
  • HOUSE_OVERSIGHT_012886
    … the past twenty years. During the tenures of Popes John Paul II and Benedict XVI, some 4,000 priests sexually abused some …
  • HOUSE_OVERSIGHT_012786
    … distinguished scientists, including the ethologist Robert Hinde, the geneticist John Paul Scott, and the biological anthropologist Richard Leakey, sidelined biology with …
  • HOUSE_OVERSIGHT_012741
    … Hoeksema, Charlene de Ganay and Carlos Souza aka “the family.” Paul Giamatti, whose family changed their spelling, tells me he is …
  • HOUSE_OVERSIGHT_012740
    … wrote the play the film is based on, Farragut North. Paul Giamatti, Philip Seymour Hoffman, Marisa Tomei and Evan Rachel Wood …
  • HOUSE_OVERSIGHT_012701
    … It is cold, grey and rainy. Taffeta, organdy and embroidered Paul Haggis, Marisa Tomei, Kate Beckinsale, Demi Moore – eae Pe …
  • HOUSE_OVERSIGHT_012694
    … Hilary Swank, Kelly Ripa, Carrie Fisher, Bruce Weber, Sean Combs, Paul Haggis, Marisa Tomei, Jay Roach, Kate Beckinsale, Demi Moore and …
  • HOUSE_OVERSIGHT_012051
    … & Gallagher LLP provided legal advice, according to the statement. Paul, Weiss, Rifkind, Wharton & Garrison LLP was legal adviser to …
  • HOUSE_OVERSIGHT_012049
    … Farr & Gallagher LLP was the legal advisor to RFS. Paul, Weiss, Rifkind, Wharton & Garrison LLP was the legal advisor …
  • HOUSE_OVERSIGHT_012032
    … submitted by Florida lawyer Brad Edwards and former federal judge Paul Cassell in a federal court in West Palm Beach, Fla., …
  • HOUSE_OVERSIGHT_011958
    … obtain the remedy of invalidating the illegally-negotiated plea deal. i> Paul G. Cassell teaches criminal law, criminal procedure, and crime victims’ …
  • HOUSE_OVERSIGHT_011956
    … move forward on my Crime Victims’ Rights Act case By Paul Cassell April 21 On Friday,the 11th Circuit ruled that discovery …
  • HOUSE_OVERSIGHT_011936
    … deal they made with him to avoid public criticism." said Paul Cassell. a University of Utah law professor who is representing …
  • HOUSE_OVERSIGHT_011373
    … McCAWLEY: Let's finish. Okay, great. Thank you. 23 MR. CASSELL: Paul Cassell, your Honor, for 24 Ms. Giuffre. 25 The defense …
  • HOUSE_OVERSIGHT_011304
    … LAW AT THE UNIVERSITY OF UTAH For Plaintiff 18 BY: PAUL G. CASSELL, ESQ. 18 HADDON, MORGAN AND FOREMAN, P.C. Attorneys …
  • HOUSE_OVERSIGHT_011260
    … with enthusiasm 19:46 – CEST | onshire #Stronger|nEurope: https://t.co/GGblEGk6mga€ | PaullSingh | RT @b_tweet: PSA to my UK friends: #usepens for …
  • HOUSE_OVERSIGHT_011259
    … you 19:29 – CEST vote? #ivoted https://t.co/MpQITqwamT Heath20Rob | RT @PaulJamesOakley: #iVoted. Proud to be one of 23 Jun 2016, | …
  • HOUSE_OVERSIGHT_011247
    … |r, England #VoteLeave #Brexit #EUref https://t.co/OLzROfwiqv https:4€ | w_nicht RT @PaulbernalUK: #Brexit people want to #usepens 23 Jun 2016, | Europe …
  • HOUSE_OVERSIGHT_011245
    … pic! What will you vote? #ivoted htta€ | 928ster RT @paulwaugh: Clue to how strong the Brexit vote is. | 23 …
  • HOUSE_OVERSIGHT_011234
    https://t.co/S5JNHoTuBIG #EUref https://t.co/A53QcMXqiM Paulxxxxx @JTeesdale1 Hi James. "Its looking excellent". Do you | 23 …
  • HOUSE_OVERSIGHT_011227
    … yet, by 23 Jun 2016, | Estonia 462 | neutral @paulmasonnews: "Real working class rebellions tend | 12:22 – CEST not …
  • HOUSE_OVERSIGHT_011216
    … du Brexit sera le (Apart de #Cameron 10:39 – CEST PaulinaNeus | RT @chrisuport_port: #britaininout #g00dbyeUK 23 Jun 2016, | German …
  • HOUSE_OVERSIGHT_011210
    … sempre fatto 09:13 – CEST come c…0 gli pareva. #Brexit paultimperl | RT @DanHannanMEP: My three minute #Brexit pitch, | 23 …
  • HOUSE_OVERSIGHT_011194
    … 05:47 – CEST | Switzerl continent sur https://t.co/SBMBhbY3eS ! and volkerpauls | Fjollet debat! Det Indre Markeds reelle vA! rdi har …
  • HOUSE_OVERSIGHT_011184
    … Brexit: What Is It About? 23 Jun 2016, negative ow Paul Craig Roberts 03:30 – CEST If you read the presstitute …
  • HOUSE_OVERSIGHT_011183
    TBS907 RT @geraldcelente: Paul Craig Roberts Just Exposed 23 Jun 2016, | dirty 12 …
  • HOUSE_OVERSIGHT_011178
    … Jun 2016, | Paris 18 | neutral Paris, 1945 A@ Paul Almasy #Brexit 02:54 – CEST https://t.co/9VfVJzOdDE txblondegra | RT @Forbes: …
  • HOUSE_OVERSIGHT_011168
    … University Press, Cambridge, England, 1980. [3] Ansley J. Coale and Paul Demeny. Regional Model Life Tables and Stable Populations. Academic Press, …
  • HOUSE_OVERSIGHT_011074
    … age. But Petty’s overlapping generations model cannot be much like Paul Samuelson’s of three centuries later, where a generation of productives …
  • HOUSE_OVERSIGHT_010936
    … physical capital. And the dollar has proved pretty stable since Paul Volker’s tough reforms in the early 1980s. That means that …
  • HOUSE_OVERSIGHT_010929
    … was over. The remaining plaintiffs were my three nieces and Paul. I couldn’t blame them. How could a corporate co-trustee hurt? …
  • HOUSE_OVERSIGHT_010927
    … A’s chairman, Chauncey Medberry, sat on the Getty Oil board. Paul and George’s daughters joined the plaintiffs. Chapter 1: Recollections 1/06/16 …
  • HOUSE_OVERSIGHT_010919
    … house arrest was probably as much dressing-down as I deserved. Paul, or anyone else, would have handled the perks and privileges …
  • HOUSE_OVERSIGHT_010918
    … for old friends. My weekends of saluting were postponed when Paul and I went back to work for my father in …
  • HOUSE_OVERSIGHT_010917
    … Meanwhile I worked for my father. | and my brother Paul, later Sir Paul, started at the bottom pumping gas and …
  • HOUSE_OVERSIGHT_010914
    … It takes guys like my father. Yes, that was J. Paul Getty. I’ll declare a bias for him. His faults were …
  • HOUSE_OVERSIGHT_010913
    … that I first heard about the Hamilton-Zuk parasite theory, and Paul Ewald’s complementary one about parasites stabilizing population density of hosts. …
  • HOUSE_OVERSIGHT_010886
    … 6 Page No.___Line No.___Change to: —_________ 7 Public certify that PAUL G. CASSELL personally (ee a ee 8 appeared before me …
  • HOUSE_OVERSIGHT_010885
    … no: 220190 assis? 4 over. 4 BRADLEY J. EDWARDS and PAUL G. CASSELL vs. ovate 5 MR. SIMPSON: It — it's …
  • HOUSE_OVERSIGHT_010880
    … as: 032140 9 which appears to be an e-mail from Paul Casseil to 032349 9 "The young woman who was sexually …
  • HOUSE_OVERSIGHT_010861
    … — orast0 19 other cases that I’m working on with Paul that oases 20 neither of their — that's — is …
  • HOUSE_OVERSIGHT_010843
    … And when you say “all day," what time period 2 PAUL G. CASSELL, coos: 2 are you referring to? 3 having …
  • HOUSE_OVERSIGHT_010842
    156 158 1 DEPOSITION OF PAUL G. CASSELL coor 1 never thought to record it, but …
  • HOUSE_OVERSIGHT_010841
    … BY: DARREN K. INDYKE, ESQUIRE 5 BRADLEY J. EDWARDS and PAUL G. CASSELL, 575 Lexington Avenue 6 5 4th Floor 7 …
  • HOUSE_OVERSIGHT_010824
    … 5 Tel: 617.646.4466 Fax: 617.646.4470 5 BRADLEY J. EDWARDS and PAUL G. CASSELL, 6 E-mail: ksweder@sweder-ross.com 6 7 Plaintiffs/Counterclaim Defendants, Sav …
  • HOUSE_OVERSIGHT_010814
    … in my class at Harvard 3 for Bradley Edwards and Paul Cassell, in assessing 3 law school. The dean then had …
  • HOUSE_OVERSIGHT_010813
    … and al answers. That's done in every courtroom on 18 paul Cassell relied upon detailed reports from the ze: every time …
  • HOUSE_OVERSIGHT_010812
    … Edwards and by 12 stipulate they read every word. 13 Paul Cassell in coming to the conclusion that 13 MR. SCOTT: …
  • HOUSE_OVERSIGHT_010807
    … 276 1 early January of 2015 that Bradley Edwards and Paul 1 answers haye been given during the course of this …
  • HOUSE_OVERSIGHT_010806
    … to your counsel, please? 13 regarding what Bradley Edwards and Paul Cassell did 14 MR. SCOTT: On that note, hold on …
  • HOUSE_OVERSIGHT_010799
    … knew for sure that the flight logs would exonerate 13 Paul Cassell responding to requests for information 13 me because I …
  • HOUSE_OVERSIGHT_010798
    … 4 of transcript of that same 238 240 1 where Paul Cassell says "asks Dershowitz these 1 interview, you said: "She …
  • HOUSE_OVERSIGHT_010797
    … 3 limitations with regard to sexual crimes, correct? 3 that Paul Cassell and Bradley Edwards intentionally 4 A. Ididn't refuse anything. …
  • HOUSE_OVERSIGHT_010793
    … And I'm embarrassed for 23 the attorneys, Brad Edwards and Paul Cassell, could 23 Professor Cassell that he would have signed …
  • HOUSE_OVERSIGHT_010783
    … COUNTY, FLORIDA CASE NO.: CACE 15-000072 BRADLEY J. EDWARDS and PAUL G. CASSELL, , Plaintiffs, vs. ALAN M. DERSHOWITZ, Defendant. ee …
  • HOUSE_OVERSIGHT_010778
    … COUNTY, FLORIDA CASE NO.: CACE 15-000072 BRADLEY J. EDWARDS and PAUL G. CASSELL,, Plaintiffs, vs. ALAN M. DERSHOWITZ, Defendant. a VIDEOTAPE …
  • HOUSE_OVERSIGHT_010776
    … Attorneys for Alan M.Dershowitz, Esquire Phone: (801)-366-0100/Fax: (801)-366-0101 Attorneys for Paul Cassell Bradley J. Edwards, Esquire staff.efile@pathtojustice.com; brad@pathtojustice.com; maria@pathtojustice.com Farmer Jaffe …
  • HOUSE_OVERSIGHT_010774
    … 33301 Telephone (954) 524-2820 Facsimile (954) 524-2822 E-mail: brad@pathtojustice.com And Paul G. Cassell Pro Hac Vice Motion Pending S.J. Quinney College …
  • HOUSE_OVERSIGHT_010773
    … mountain evidence strongly support Ms. Giuffre’s allegations. See Deposition of Paul Cassell (Oct. 16, 2015) at 61-117 (Exhibit 3); see also …
  • HOUSE_OVERSIGHT_010757
    … COUNTY, FLORIDA CASE NO.: CACE 15-000072 BRADLEY J. EDWARDS and PAUL G. CASSELL, Plaintiffs, vs. ALAN M. DERSHOWITZ, Defendant. ee | …
  • HOUSE_OVERSIGHT_010753
    … brad@pathtojustice.com E-mail: Dexter.Lee@usdoj.gov E-mail: ann.marie.c.villafana@usdoj.gov and Attorneys for the Government Paul G. Cassell Pro Hac Vice S.J. Quinney College of Law …
  • HOUSE_OVERSIGHT_010722
    … frogmarched on stage to win. Naomi Watts, Idina Menzel, Sarah Paulson, to the door by Oseary, the While I was at …
  • HOUSE_OVERSIGHT_010720
    … Downey Jr., Paolo Sorrentino was the overwhelming la & “and Paul Rudd mingled under a _ favorite to win Best Foreign …
  • black_book_011-331-441-70210 (image not found)
  • epstein_flight_logs_21
    9/29/2003 PBI 🡒 TEB Ghislaine Maxwell 9/30/2003 TEB 🡒 PBI Paula Epstein; Andrea Mitrovich; Fran ? 10/1/2003 PBI 🡒 TEB Andrea …
  • epstein_flight_logs_34
    … 9/25/2005 TEB 🡒 CMH Nadia Marcinkova; Larry Visoski; Jeff Epstein; Paula Halada; Sarah Kellen 9/25/2005 CMH 🡒 TEB Nadia Marcinkova; Larry …
  • epstein_flight_logs_41
    … Jeff Epstein; Emmy Tayler; Ghislaine Maxwell 8/23/1999 PBI 🡒 TIST Paula Epstein; Adam PerryLang; Tiffany Gramza; Jeff Epstein 8/26/1999 TIST 🡒 …
  • epstein_flight_logs_42
    … 9/13/1999 PBI 🡒 TEB Mandy Ellison; Jeff Epstein; Ghislaine Maxwell; Paula Epstein; Clare Hazell-Iveagh 9/17/1999 TEB 🡒 PBI Jeff Epstein; Ghislaine …
  • epstein_flight_logs_47
    … Prince Andrew; Emmy Tayler; Bodyguard ? 5/15/2000 PBI 🡒 TEB Paula Epstein; A P; Jeff Epstein; Alexandria ? 5/16/2000 TEB 🡒 …
  • epstein_flight_logs_58
    … Ed Tuttle; Jeff Epstein; Emmy Tayler 9/28/2001 HPN 🡒 PBI Paula Epstein; Jeff Epstein; Emmy Tayler 10/5/2001 PBI 🡒 ABQ Jeff …
  • epstein_flight_logs_61
    … Jeff Epstein; Female (2) 4/6/1998 W47 🡒 RIC Carolyn ?; Paul Mellon; Jeff Epstein; Female (2) 4/6/1998 RIC 🡒 W47 Paul …
  • epstein_flight_logs_65
    … Jeff Epstein; Emmy Tayler; Ghislaine Maxwell 8/13/1998 TEB 🡒 PBI Paula Epstein; Jeff Epstein; Emmy Tayler; Ghislaine Maxwell 8/17/1998 PBI 🡒 …

Results for Manafort

  • HOUSE_OVERSIGHT_029106
    … Your pal should stay out of press. Public link to manafort will be a disaster. This is a staggering shit show. …
  • HOUSE_OVERSIGHT_029108
    … Your pal should stay out of press. Public link to manafort will be a disaster. This is a staggering shit show. …
  • HOUSE_OVERSIGHT_031682
    … George Nader, the Lebanese- American with Trump campaign connections; Paul Manafort, Mr. Trump's former campaign chairman; Michael D. Cohen, the president's …
  • HOUSE_OVERSIGHT_032562
    … Weingarten, Reid Subject: https://www.nytimes. com/20 1 7/0 8/0 9/us/p olitics/p aul-manafort-home-se arch- mue ller. html? hp=undefined& action=click&p gtyp e=Homep age& clickS …
  • HOUSE_OVERSIGHT_022404
    A Ukrainian lawmaker claimed documents show Paul Manafort attempted to hide payments he received from a political party …
  • HOUSE_OVERSIGHT_031742
    … Sent: 8/11/2017 3:05:31 PM To: Jeffrey Epstein [JEEyacation@gmail.com] Subject: Fwd: Manafort ratted on Donald Jr.'s meeting with the Russian lawyer Importance: …
  • HOUSE_OVERSIGHT_030444
    … has a longstanding relationship with Trump's former campaign chairman, Paul Manafort, and Manafort's onetime deputy, Rick Gates. Gates agreed to begin …
  • HOUSE_OVERSIGHT_033332
    … Sent: 11/28/2018 9:56:58 PM To: J [jeevacation@gmail.com] Subject: Fwd: Trump: Manafort Pardon 'Not Off the Table' Importance: High Begin forwarded message: …
  • HOUSE_OVERSIGHT_029285
    … Your pal should stay out of press. Public link to manafort will be a disaster. This is a staggering shit show. …
  • HOUSE_OVERSIGHT_029288
    … Your pal should stay out of press. Public link to manafort will be a disaster. This is a staggering shit show. …
  • HOUSE_OVERSIGHT_025125
    … Your pal should stay out of press. Public link to manafort will be a disaster. This is a staggering shit show. …
  • HOUSE_OVERSIGHT_025129
    … Your pal should stay out of press. Public link to manafort will be a disaster. This is a staggering shit show. …
  • HOUSE_OVERSIGHT_025134
    … Your pal should stay out of press. Public link to manafort will be a disaster. HOUSE OVERSIGHT 025134
  • HOUSE_OVERSIGHT_027426
    … Is Read: No Is Invitation: No GUID: FE9C3FAO-F1D5-4A40-82FE-D4F15D393F80 Message: http://www.nydailynews.com/news/politics/ny-trumo-white-house-funds-legal- bills-manafort-gates-20180921-story.html Sender: e:jeeitunes@gmail.com Time: 09/22/18 02:23:13 PM (559344193) Flags: 1085445 Is …
  • HOUSE_OVERSIGHT_025391
    … Is Invitation: No GUID: 5D39B440-8AF8-4B2E-AA0E-FF6ECE7B7E7A Message: We heard It's because manafort AND Cohen are taking up there time Sender: e:jeeitunes@gmail.com Time: …
  • HOUSE_OVERSIGHT_027598
    … 1085445 Is Read: No Is Invitation: No GUID: 74E81221-C354-4C81-BA46-EE3B62661924 Message: Manafort new. York charges. Emblematic of things to come Sender: ___________________ …
  • HOUSE_OVERSIGHT_025759
    … ; very nice guy , wealthy family ; deeper into manafort than he ever told anybody– hates trump Sender: e:jeeitunes@gmail.com Time: …
  • HOUSE_OVERSIGHT_028332
    … {"identifier":" anf-body- 35","layout":"bodyLayout", "role": "body", "text":"Later that month, however, Paul Manafort was convicted of financial crimes charged by Mueller, and Michael …
  • HOUSE_OVERSIGHT_028331
    … that a€eflippinga€ witnesses (like Michael Flynn, Rick Gates, and Paul Manafort) almost ought to be illegal, and that the Justice Department …
  • HOUSE_OVERSIGHT_028329
    … probe 4€" just a week and a half after Paul Manafort agreed to cooperate with the special counsela€™s team, but during …
  • HOUSE_OVERSIGHT_021130
    … that the Mueller team could be made t ager Paul Manafort, his former national security advisor Michael Flynn, understand its limits, …
  • HOUSE_OVERSIGHT_021122
    % CONTENTS 14.100 DAYS 185 ¥ 15. MANAFORT 196 J, Author’s Note 16. PECKER, COHEN, WEISSELBERG 209 17. …
  • HOUSE_OVERSIGHT_020130
    … Limbaugh, Rush, 128, 222 Lowe, Rob, 42 Luntz, Frank, 201 Manafort, Paul, 12, 17, 28, 101, 210, 240, 253-56, 278, 280 …
  • HOUSE_OVERSIGHT_020095
    … said Bannon: they would trace a money trail through Paul Manafort, Michael Flynn, Michael Cohen, and Jared Kushner and roll one …
  • HOUSE_OVERSIGHT_020094
    … guy. Their path to fucking Trump goes right through Paul Manafort, Don Jr., and Jared Kushner … It’s as plain as …
  • HOUSE_OVERSIGHT_020077
    … Jr. as the hatchet man—and, as part of this unity, Manafort and Kushner need to show up at Don Jr.’s silly …
  • HOUSE_OVERSIGHT_020076
    … politics. On June 9, 2016, Don Jr., Jared, and Paul Manafort met with a movieworthy cast of dubious characters in Trump …
  • HOUSE_OVERSIGHT_020065
    … of implicating others. Dominos would fall. Targets would flip. Paul Manafort, making a good living in international financial gray areas, his …
  • HOUSE_OVERSIGHT_020042
    … gossip. Flynn was going to throw him in the soup. Manafort was going to roll. And it wasn’t just Russia. It …
  • HOUSE_OVERSIGHT_019960
    … been photographed sitting at a dinner with Putin. ¢ Paul Manafort, whom, along with serving as Trump’s campaign manager, Foer highlighted …
  • HOUSE_OVERSIGHT_019905
    … eccentric presidential campaign and brokered the deal to have Paul Manafort replace Corey Lewandowski after Lewandowski fell out of favor with …
  • HOUSE_OVERSIGHT_019896
    … knowing that it would therefore not be a problem. Paul Manafort, the international lobbyist and political operative who Trump retained to …
  • HOUSE_OVERSIGHT_019892
    … back.” Trump quickly soured on his second campaign manager, Paul Manafort, as well. By August, trailing Clinton by 12 to 17 …
  • HOUSE_OVERSIGHT_019280
    … Quartz, January 15, 2015, http:// qz.com/326487/putin-has-friends-on-europes-far-right-and-left-but-mostly-right/. 11. Amber Phillips, “Paul Manafort's Complicated Ties to Ukraine, Explained,” Washington Post, August 19, 2016, …
  • HOUSE_OVERSIGHT_019278
    … to immigrants and minorities, and unenthusias- aggression against neighbors. During Manafort'’s rela- tic about independent courts that might block their tively …